



上海正处于经济快速发展的时期,城市人口快速增长,交通压力日趋加大,发展地铁等城市轨道交通对缓解城市公共交通压力、促进城市经济和社会和谐发展起着重要的作用。随着上海地铁建设规模的不断扩大,基坑也随之向“密、深、大”的方向发展,注浆加固技术确保基坑安全和保护周边环境的功能日渐突出,故注浆加固技术在地铁深基坑工程中的应用也越来越受到人们的关注。
注浆加固技术在上海地铁深基坑中应用的历史并不长,但在确保基坑安全、保护周边环境和减小基坑施工风险等方面的效果明显。根据《上海地铁基坑工程施工规程》(SZ-08-2000)的要求,基坑开挖前应按设计要求和环境、地质条件确定土体加固的项目、方法和要求。同时注浆加固技术还有应用灵活、简便、高效、快速等优点,因此它在地铁深基坑中的应用日益广泛,越来越多地受到人们的关注和重视,成为地铁建设中颇具特色且不可或缺的一项技术。
针对土质状况进行基坑开挖
软土主要由细粒土(0.1mm+0.002mm)组成,它表明地基土的总体是软弱的。软土是指饱和软黏土,其含水量大于液限、天然空隙比大于1、不排水抗剪强度小于0.03Mpa。软土的特点主要有:抗剪强度低、压缩性高、灵敏度高、渗透性较小。由于软土的成因多样性,所以构造比较复杂。
注浆加固技术主要包括钻孔注浆、深层注浆搅拌、高压喷射注浆。注浆加固的作用主要是通过加固,改变软土的土体结构和含水量来提高土体强度,增强基坑整体抗失稳能力,增强土体的抗力,减少围护的变形,使基坑周边环境得到有效的保护。
随着城市地铁建设规模的不断扩大,地铁基坑的深度也越来越大,相应地对基坑围护和围护接头止水提出了更高的要求,因此在围护结构进行适当的隔水帷幕注浆是必要的。通过隔水帷幕注浆处理可以有效减少由于围护结构接头处漏水所引起的基坑风险。隔水帷幕一般采用高压喷射注浆或深层注浆搅拌的方法进行处理。
在基坑施工过程中一旦发生漏水、流砂等危险情况时,应立即根据出水点的位置、标高、所处的土层的各项物理力学指标、出水量的大小等来确定并实施注浆堵漏方案,避免大量夹有泥砂的漏水威胁基坑安全、对周边环境造成损失以及其它不可预计的损失。
目前,针对基坑开挖过程中漏水的堵漏方案中比较有效的是:先用水泥化学系(一般采用水泥加水玻璃)或化学系(常用的为聚氨酯)的注浆材料来封堵漏水点,再用水泥系注浆材料来填充空隙,以此来确保基坑安全和减少对周围环境的影响。
做好深基坑工程监理环节
根据地铁深基坑工程特点、施工工艺以及可能出现的风险,笔者认为深基坑工程监理控制重点应放在围护、土体加固和降水、开挖和支撑3个关键环节。
深基坑围护是保护基坑的首道屏障,监理人员应对围护结构特别是地下连续墙的施工流程进行审核并提出合理化建议。在地下连续墙施工中,监理人员还要特别注意墙体接缝处的清理、砼浇注的连续性,避免产生夹泥、冷缝等现象,减少开挖过程中由于地下连续墙渗漏给基坑和周边环境带来安全隐患。
深基坑加固和降水是确保地铁深基坑工程安全不可缺少的技术措施,也是监理应控制的一个重要环节。因此,对于基坑加固,监理应严格控制水泥用量和加固范围,确保加固达到设计效果。对于降水工程,监理应对降水设施的质量和降水过程进行跟踪检查验收,确保开挖土体的降水效果。除此之外,监理还要密切注意降水对周边环境的影响。
开挖阶段是风险集中阶段。监理应严格控制开挖顺序、挖土方法和支撑顺序,应与设计工况相一致。地铁车站一般均为长条基坑,故监理人员应严格控制开挖坡度,督促施工单位做好开挖面的排水处理,避免因土体失稳造成纵向滑坡。监理人员应督促施工单位合理安排好工作流程,减少基坑在无支撑情况下的暴露时间。对支撑质量、预应力施加和复加,应严密控制,以防失稳和掉落。监理人员应同业主、施工单位密切配合、共同商讨,并严格执行开挖令制度,深基坑持续安全的施工。
信息化施工保深基坑安全
信息化施工对确保深基坑安全是至关重要的。通过信息化施工,我们可以及时了解到基坑周边的管线、建筑、道路以及基坑本身的变形,以便采取相应的措施。应严格控制监测方案的符合性、有效性和针对性。
相信随着上海地铁建设事业的蓬勃发展和注浆加固技术的不断进步,通过更多的工程实践,注浆加固技术在确保基坑安全和保护周边环境上的独特作用将更显突出,注浆加固技术在地铁建设和其它城市基础设施建设过程中将得到更为广泛的应用和重视,成为城市建设中颇具特色且不可或缺的一项技术。


摘要: 目前高压旋喷桩止水帷幕的施工在我国已得到了越来越广泛的应用,例如高速公路软弱地基的加固、矿山井巷的加固与防渗、水利工程防渗等,在止水防渗方面效果显著。笔者结合工作实际,对国华惠州大亚湾热电厂一期工程输煤系统T0 转运站煤粒沉淀池的高压旋喷桩止水帷幕施工过程进行分析,并以此重点阐述了在工程中应如何加强对施工质量的控制。
0 前言
国华惠州大亚湾热电厂一期2 × 330MW 机组位于惠州大亚湾石化区东部临K1 地块。本工程由中国神华能源股份有限公司投资,项目为热电联产新建工程,电厂规划容量为4 × 330MW,本期工程建设规模为2 × 330MW 国产亚临界参数热电联产机组,公用系统按4 × 330MW 容量统一规划且尽可能分期建设。
本工程厂址所在地原为海域,地块南边是已建好的堆石斜坡海堤,透水性强,东西两侧还在填土造地,所以地块除北面与陆地相连外,其余三边均临水,补充水极为丰富。按照设计要求,输煤系统需设两处止水帷幕,分为Ⅰ区和Ⅱ区。Ⅱ区主要维护区域为T0 转运站附近的煤粒沉淀池,维护构筑物范围仅为煤粒沉淀池基坑。
1 高压旋喷桩止水帷幕的施工原理
利用钻机把带有喷嘴的注浆管钻进至土层预定的深度后,以20 ~ 40MPa 的压力把浆液或水从喷嘴中喷射出来,形成喷射流冲击土层。当由多个高压喷射注浆固结体形成帷幕时,可以用来作为地下水体隔离在一侧的一种止水施工方法,这种施工方法可以将水隔离在基坑以外,从而了原有建筑物基础下土体的稳定性,亦了基础的稳定。我们通常称这种施工方法为高压旋喷桩止水帷幕。
2 高压旋喷桩止水帷幕的工艺流程
该工程使用了三重管高压旋喷法施工工艺。
2. 1 工艺流程图

2. 2 施工方法及要求
( 1) 高压旋喷法施工工艺要求。
1) 测放桩位。桩基的轴线和标高均应测定完毕,根据轴线施放出桩位,使桩位偏差控制在2 cm 以内,并经过检查,办理复核签证手续。
2) 引导孔施工。引导孔施工采用扭矩较大的钻机成孔。引孔直径130。引孔钻机在测定好的桩位上对中,开钻穿过回填层及其它较硬地层,全桩段引孔,以后续旋喷桩机能顺利施工,同时做好施工记录。若旋喷钻管不能顺利插入,则须引孔钻机重新扫孔。
3) 桩机就位。将钻机安置于设计孔位上,使钻杆对准孔位中心,同时为钻孔达到设计要求的垂直度,钻机就位后,必须作水平校正,使其钻杆轴线垂直对准钻孔位置。
4) 钻孔、插管。引导孔施工完毕后,采用GP1800 - 2型旋喷钻机钻孔、沉管,边射水、边插管。
5) 喷射作业。由下而上旋喷至桩顶。控制高压水压力不小于37 MPa,浆压0. 7 MPa,气流压力为0. 7 ~ 0. 8 MPa,提升速度取15 cm/min,旋转速度不大于20r·p·m。值班人员应及时做好记录。
6) 桩孔回灌水泥净浆。当喷射提升到设计标高后,旋喷结束,停高压清水泵,用浆泵回灌桩孔,至地面返浆时止。7) 冲洗。施工完毕后应把注浆管等机具设备冲洗干净,管内不得残存水泥浆。
8) 移动机具。把钻机等机具设备移动到新孔位上。
2) 高喷工艺参数选择。旋喷桩正式施工前,选择场
地空地作为工艺试桩场地,通过试桩确不定高压旋喷的施
工工艺。
1) 高压旋喷桩施工工艺参数: 按设计要求,P. O32. 5普通硅酸盐水泥,水灰比0. 8∶1 ~ 1∶1,水泥浆液比重不小于1. 50 kg /L。
2) 高压清水泵: 取P≥37 MPa。
3) 浆泵: 取P≥0. 7 MPa。
4) 空气压力: 0. 7 ~ 0. 8 MPa,空气流量: 0. 8 ~ 1. 5m3 /min。
5) 回旋速度: 取n≤20 r /min。
6) 根据施工中遇到的不同土层,可适当调整切割喷射压力和降低回转速度和提升速度。
7) 喷嘴直径的选择: 高压射流喷嘴直径1. 8 mm,水泥浆液喷嘴直径2. 6 mm。
3 高压旋喷桩止水帷幕施工质量控制措施
3. 1 高压旋喷桩施工技术控制措施
重点控制桩位、桩径、桩长、桩材及桩的完整性等方面进行控制,以施工质量。
( 1) 施工用材料的质量检验。水泥的质量应符合有关规范、规程和设计要求,要有合格证和检验报告; 质量不合格的产品、材料不得进入施工现场。
( 2) 设备安装平稳对正,开孔前须严格检查桩位,桩位要进行编号。
( 3) 引孔孔位误差不得大于3 cm,垂直度偏差不大于1%,深度偏差不小于+ 10 cm。
( 4) 保持引孔孔壁完整,不坍孔,确保高喷管顺利下至孔底。
( 5) 高喷管下孔前需在孔口试验检查,防止喷嘴堵塞。
( 6) 旋喷压力要求不小于37 MPa,喷射过程中严防喷咀堵塞。
( 7) 浆液配制必须严格按照设计配比均匀上料,经常检查测定浆液比重( 不小于1. 50) ,并做好记录。
( 8) 高喷作业中,必须注意观察浆压力和流量达到设计要求,发现异常,要立即停止提升,查明原因,及时处理。
( 9) 当旋喷作业过程中有停顿时,该处桩体要有50cm 的搭接长度,以避免固结体出现断层。
( 10) 遇孔口不返浆时,要降低提升速度或复灌。
( 11) 采用两序施工( 间隔一个) ,防止串孔。
( 12) 为确保固结体强度,冒浆不得回收和利用,返浆用排浆沟收集到废浆坑集中处理。
( 13) 旋喷结束后,在孔口复灌水泥净浆至地面。
( 14) 高喷作业时,各岗位要明确分工,统一指挥,协调一致。
( 15) 高喷结束后,要立即清洗管路设施。
( 16) 各种记录资料及时整理上报。
( 17) 水泥用量的控制( 每延米水泥用量≥500 kg) : ①严格控制水灰比、高压水泵压力及流量、浆泵压力及流量、气泵压力及流量、提升速度、回转速度按确定参数执行;②若水泥量不够,在桩径情况下适当减小压力,加大水灰比,在桩体强度情况下适当提高提升速度; ③若水泥量剩余,适当增加喷浆压力,适当减小提升速度。
3. 2 重点与难点的解决
( 1) 为高压旋喷顺利施工,提高施工进度和效率,必需使用专业机械引孔,引孔直径130 mm。
( 2) 局部遇容易塌孔地层,使用同孔径PVC 硬管插入护孔,为旋喷桩施工创造条件。
( 3) 高压旋喷浆液排放问题。在旋喷过程中,会有一定数量的土粒,随着一部分浆液沿注浆管管壁冒出地面,为不造成场地环境污染,采取如下应对措施: ①控制冒浆量。如果冒浆量量过大,可能是注浆量大大超过旋喷固结所需的浆量,应提高喷射压力、适当缩小喷嘴孔径; ②设立浆液排泄通道。沿注浆孔侧开挖临时( 200 × 200 × 200mm) 浅沟,场地外开挖积浆坑( 1 000 × 1 000 × 1 000 mm) ,沿排泄沟每隔5 m 设过滤网和沉淀池( 2 000 × 2 000 × 2 000mm) ,及时清理沉淀水泥浆外运。在施工中,旋喷桩施工的引孔是整个进度计划的瓶颈。必须确保引孔的施工工艺及引孔机械的数量,使引孔的进度始终超前于旋喷桩的施工进度,不影响旋喷桩的施工质量和进度。
( 4) 高喷桩止水帷幕闭水效果的问题。本工程场地为围海形成,回填土深达8 m,渗透系数大,回填土下方还有数个透水层( 分布不均) ,为止水、防渗帷幕连续并达到较好的闭水效果,旋喷桩工艺参数的确定十分重要。根据试桩结果和类似工程施工经验,确定了上述工艺参数。同时采用二序法间隔施工。
施工生产的重点保障环节上,要重点加强高压水压力、水泥用量、水灰比、提升速度、转速、空气压力等参数的现场控制。
3. 3 质量检验
( 1) 施工前应检查水泥的质量、桩位、压力表的精度和灵敏度,高压喷射设备的性能。
( 2) 施工中应检查施工参数( 压力、水泥浆量、提升速度、旋转速度等) 及程序。
( 3) 高压旋喷桩地基质量检验标准应符合下表规定。
3. 4 作业过程中控制点的设置

3. 5 质量标准及要求( 见表2)

4 总结
通过实际工程证明,高压旋喷桩止水帷幕能够有效的基坑的止水效果,并能够多个钻机同时作业,使得操作人员较少,在节约了人工成本的同时,也了施工进度和施工安全,为工程带来了良好的经济效益和社会效益。


近年来,随着城市建筑工程的不断进行,基坑支护作为建筑地基的基础逐渐得到重视。受到各种因素的影响,岩土工程中基坑支护技术的应用还存在着多种问题。为确保基坑支护工程的稳定性和安全性,需要针对存在的问题采取有效的解决措施。
1、岩土工程中基坑支护存在的问题
1.1超挖、欠挖现象较为严重
在基坑支护工程施工过程中,超挖、欠挖现象比较常见,这些现象的出现影响了工程质量。分析超挖、欠挖的现象的原因,主要与施工人员操作不规范有直接关系,即施工人员,尤其是机械操作人员的操作技术水平低下是造成以上现象的主要原因。机械操作人员在操作机械开挖后,由于受到施工条件的限制,其开挖有一定难度要求。若操作人员的技术达不到一定水准或欠缺责任意识,极易出现边坡表面不平整、顺直度不规则等质量不达标现象。从而造成施工质量低下,并加大施工量,从而影响施工进度。
1.2实际施工与施工设计间存在较大差异
在进行基坑支护工程建设前,为施工提供参照标准和依据,一般需要对基坑支护工程做规划和设计。但在实际施工过程中,普遍存在不按施工设计进行,与设计脱离的现象。如深层搅拌桩的水泥没有按照设计标准进行配置,导致掺量不足,对水泥土的支护强度造成不利影响,并易使水泥出现裂缝现象,影响施工质量。
分析实际施工与施工设计存在较大差异的原因,主要有:⑴施工企业一味追求速度和利润化,在施工过程中偷工减料、赶进度、强行施工等,在施工过程中频频出现质量问题。⑵施工设计人员设计的方案欠妥。由于施工设计方案都是按照假设施工设计的,因此,不能排除设计人员在设计中存在方案不切实际或不妥的地方。如一些设计人员受传统设计模式的影响,在设计中没有对基坑开挖施工进行空间问题处理设计,还沿用传统的以平面应变问题的模型。导致在实际施工中难以按照设计方案进行。综上所述,造成实际施工与施工设计脱节现象的原因,设计人员、施工人员均负有相关责任。
1.3土层开挖与边坡支护间存在不配套现象
一般而言,土方的开挖技术含量较低,对其进行管理也较为简单。与之相反,挡土支护的技术含量和管理水平要求比较高。在实际施工过程中,这两项内容都是由专业队伍负责完成的,并签订了2个平行的施工合同,但这给具体实施带来一定难度。例如土方开挖方为赶进度或者拖延工期,在管理上比较混乱。有些施工单位不顾及挡土支护施工所需要的工作面,尤其是雨期,留下的操作界面难以进行接下来的支护施工操作,致使支护工期未能按时按进度完成。
2、岩土工程中基坑支护工程的改进措施
2.1加强设计理念的更新
在基坑技术的发展上,我国已经具备了一定的技术能力,并且在支护结构受力变化的规律上有了初步的认识。这种技术能力的掌握和认识的存在,有利于基坑支护结构的合理设计,为其提供一定的理论基础。但是,目前我国并没有形成比较统一的设计规范,主要还是采用传统的“等值梁法”、库伦理论或朗肯理论进行相应的设计和计算。在这种理念计算出来的结果与实际的情况往往相差比较大,不利于工程建设的质量和安全建设。因此,在今后的基坑支护设计中,要逐渐地形成以施工监测为主导,进行动态信息反馈的新的设计体系,彻底地改变传统的设计理念。
2.2积极寻找新型的机构计算方法
随着高层建筑的发展,新的支护结构不断的出现,并有效地应用到实际的工程建设中。比如钢板桩、低下连续墙等支护结构的使用,促进了土钉、双排桩和旋喷土锚等支付结构型式的产生。但是,对于这些新支护结构的相关计算和设计并没有形成统一的理论,加强其计算和设计方法的研究,仍然是一个非常重要的问题。
2.3采用新的设计方法控制变形
我国在进行基坑支护工程机构设计时,采用的主要是极限平衡原理,这是一种简便实用的设计方法。在这种原理的指导下,所设计出来的基坑支护结构可以满足结构在强度上的要求,但是不能够有效地体现支护结构刚度上的要求。因此,为了避免由于结构刚度而造成相应的事故,应当采用新的设计方法控制变形。相关的设计人员应当对控制变形的标准、空间效应变化成地面超载等问题进行进一步的研究。
2.4加强基坑支护的技术研究
加强基坑支护技术的科研研究,对提高基坑支护技术具有重要作用。众所周知,试验数据的准确性对科研质量的优劣有重大影响。因此,应加大对基坑支护结构的变形、内力的实测和研究,积累相关的实测数据。同时,总结不同地质条件和水文条件下的施工工艺经验,形成一定区域一定条件内基坑设计的标准,并将已有的定性经验形成定量的计算方法,真正提高基坑支护的设计及施工质量。
3、工程实例
以单彩山的例子对岩土工程中基坑支护工程中存在的问题进行分析。通和易居花园基坑工程处在合肥市东至路和贵池路交叉口东南地方,位于城中村内,往北接壤贵池路,向东邻近长江花园小区,西接东至路,有着复杂的周围环境。该工程包括高层商住楼地上32层、高层商住楼四栋,有两层地下,剪力墙结构,6个月的基坑使用期,二级安全等级。
3.1基坑支护方案
锚杆形式支护采取人工挖孔桩加两排预应力,基坑开挖深度是9.65m,桩长为15m,桩距是1.8m,桩径为900mm,锚杆钢筋φ25,150mm的孔径,混凝土强度等级为C30。
其实从理论计算上桩锚支护结构是安全性是相当高的,可是实际情况应该重视各种因素对基坑支护的影响。
(1)雨水天气的接连不断,使得桩锚支护结构的水平位移不断增大,当位移到10mm时,与基坑周边临近的贵池路旁边有较大的裂缝出现。分析其原因是因为桩后土体中有雨水渗入,流失从基坑开挖面开始,逐渐增大的主动土压力使地表下沉,比较大的裂缝就产生了。
(2)因为贵池路边较大裂缝出现,从裂缝渗入大量的地表水进入到桩后的土体里,仅仅3天时间内其变形量累计已经达到17mm,水平位移速率已经快跟预警速率相同,如此对基坑的安全来说是个非常的威胁,因此可以看出基坑支护结构中地表水的影响是不容小觑的。不管是支护结构开始起作用还是土方回填后以及这之间的过程中都应该重视“水”的管理与控制,如压密注浆与止水帷幕等等。
(3)理论计算出的较大的本处基坑安全系数,实际上接近贵池路的该支护段有大量的动荷载在该支护结构上作用,同时又有大量的雨水,以致支护结构产生安全存在隐患,并没有理论上存在的较高的安全系数。因此应该将天气情况与临近基坑周边的有效荷载情况考虑到基坑支护设计中。
(4)正是因为原有的桩锚支护结构理论计算(只是计算支护结构的稳定性和强度)与目前的基坑支护工程实际存在着较的差距,所以建立起的计算方法应依据变形量控制理论。
(5)实践发展的桩锚支护结构的工程要超前越理论研究,目前指导实践的理论越来越凸显它的脆弱,用理论的方法在基坑支护工程事故的找出缘由又十分困难,这就提出了对该种支护结构加大试验研究的要求,以期望理论指导实践。
结语
总之,岩土工程基坑的施工存在一定的风险,地质条件变化多样,工程建设的相关管理者应当在结合所在地工程建设的经验上,按照一定的要求和理念进行基坑支护工程的施工,根据特定的工程要求和条件进行综合考虑,做出安全可靠经济的包括围护结构及支护体系土方开挖降水地基加固监测和环保的整体施工方案。

旋挖成孔首先是通过底部带有活门的桶式钻头回转破碎岩土,并直接将其装入钻斗内,然后再由钻机提升装置和伸缩钻杆将钻斗提出孔外卸土,这样循环往复,不断地取土卸土,直至钻至设计深度。对黏结性好的岩土层,可采用干式或清水钻进工艺,无需泥浆护壁。而对于松散易坍塌地层,或有地下水分布,孔壁不稳定,必须采用静态泥浆护壁钻进工艺,向孔内投入护壁泥浆或泥浆进行护壁。
成孔前必须检查钻头保径装置,钻头直径,钻头磨损情况。施工过程中对钻头磨损超标的应及时更换。
成孔中,按试施工确定的参数进行施工,设专职记录员记录成孔过程的各种参数,如钻深度、地质特征、机械设备损坏、障碍物等情况。记录必须认真、及时、准确、清晰。
旋挖钻机配备电子控制系统显示并调整钻杆的垂直度,通过电子控制和人工观察两个方面来钻杆的垂直度,从而成孔的垂直度。
钻孔过程中根据地质情况控制进尺速度:由硬地层钻到软地层时,可适当加快钻进速度;当软地层变为硬地层时,要减速慢进;在易缩径的地层中,应适当增加扫孔次数,防止缩径;对硬塑层采用快转速钻进,以提高钻进效率;砂层则采用慢转速慢钻进并适当增加泥浆比重和黏度。钻斗的外层钻齿线速度一般应控制在1000mm/s以内,硬岩层和卵碎石地层时其线速度还应更低一地。
第四纪地层钻进时钻杆、钻具选择
地表覆盖土、淤泥、黏土、淤泥质亚黏土、砂土、砂层等较软的地层统称为第四纪地层。这类地层一般比较松软,可选用摩擦钻杆和回转钻斗钻进。如地表土、淤泥质亚黏土、黏土层在于性状态下胶结性都比较好,在干孔钻进下可用单底板土层钻斗钻进,也可以用双底板捞砂钻斗和土层螺旋钻头钻进。若在湿孔钻进条件下,因土遇水的胶结性能变差,一般用双底板捞砂钻斗钻进以便于捞取钻渣。淤泥层一般用双底板捞砂钻斗钻进。砂土层和砂层的胶结性能都比较差,不管干孔钻进还是湿孔钻进均用双底板捞砂钻斗钻进。对于流砂、流泥等易坍塌地层,采用双底板捞砂钻斗钻进。
卵砾石、风化基岩等硬地层钻进时钻杆、钻具选择
砂卵石、卵砾石、泥灰岩、砂岩、灰岩、泥岩、页岩等硬岩层,因地层分布密度较大,摩擦钻杆和回转钻头无法完成钻孔设计。此类岩层应选用机锁杆和短螺旋钻头。
根据钻进地层不同,短螺旋钻头分为嵌岩短螺旋钻头和土层短螺旋钻头两类。按其头部结构形式分,短螺旋钻头又可分为锥头短螺旋钻头和平头短螺旋钻头。一般情况,嵌岩短螺旋钻头多为锥头形式,土层短螺旋钻头多为平头形式。锥头短螺旋钻头根据锥头结构形式的不同和钻头导程的多少又可分为单锥单螺旋钻头、双锥单螺旋钻头以及双锥双螺旋钻头3种。嵌岩短螺旋钻头所用切削具为头部镶焊有钨钻硬质合金的截齿,主要用于钻进风化基岩、胶结性较好的卵砾石地层及永冻土层。土层短螺旋钻头所用切削具为耐磨合金钢斗齿或斗齿加截齿,主要用于钻进地下水位以上土层、砂土层和粒径不大的砾石层。一般的泥岩也可用土层短螺旋钻头,如全风化及强风化。
对于硬度较大的基岩地层、大的漂石层以及硬质永冻土层,直接用短螺旋钻头或旋挖钻斗钻进都比较困难,需要嵌岩筒钻配合短螺旋钻头和双底板捞砂钻斗钻进。嵌岩筒钻分为取芯岩石筒钻和不取芯岩石筒钻两种。取芯岩石筒钻除了简体下端焊有子弹头截齿外,简体内壁上装有承托岩芯的合页片。不取芯嵌岩筒钻则没有承托岩芯的合页片。嵌岩筒钻的主要作用在于对孔内岩芯的圆周进行松动掏空,为以后下人嵌岩短螺旋钻头破碎岩芯创造破碎自由面。对于层理发育且各向异性的砂卵石、卵砾石、泥灰岩、砂岩、灰岩、泥岩、页岩等硬岩地层,用嵌岩筒钻配合嵌岩短螺旋钻头和双底板捞砂钻斗钻进,能有效地预防孔斜及提高工作效率。
砂卵石、卵砾石层比一般的第四纪地层硬度大,钻进难度较大。这类地层中若没有粒径太大的孤石、漂石,一般可选用机锁钻杆和双底板捞砂钻斗钻进。但这类地层的研磨性比较强,所以钻斗斗齿的消耗会比较大。当碰到大孤石(漂石),则下入嵌岩短螺旋钻头钻进,一般能把大孤石搅碎或将整个孤石(漂石)带出孔口。钻进卵砾石地层,嵌岩短螺旋钻头的锥头结构形式和锥度大小的选择主要取决于卵砾石粒径的大小和地层硬度,粒径大选用单锥头形式(单锥头形式的锥头叶片空间比双锥头形式的大,但是带渣能力前者比后者差),这样才能使大粒径卵砾石被旋人螺旋叶片内;粒径小则选用双锥头形式易于带起钻渣。地层硬度大则选用小锥角形式的钻头;硬度小则选用大锥角形式钻头。对于强风化基岩,如泥灰岩、砂岩、灰岩、泥岩、页岩等硬岩层,采用嵌岩短螺旋钻头钻进,配合用嵌岩筒钻(主要作用在于对地层进行松动,取芯是次要功能,所以一般采用不取芯岩石筒钻)以及用双底板捞砂钻斗清渣。
旋挖钻机在钻进时,根据地层选用钻斗的同时,还要注意在钻进时进尺的控制。在使用旋挖斗时依据斗体的容量,一般在斗体三分之二为合适。进尺深度根据桩直径而定,也要根据地层的密度控制进尺深度。进尺过多,导致卸土困难,还会导致埋钻卡钻的事故发生。进尺过少则会延误施工进度与设备、能源的消耗,成本提高,降低了效益。
关键词:桩,挤扩桩,涡压,旋转分层,施工技术
摘 要 总结了现有各种变截面扩径桩施工方法的优缺点。提出且验证了涡压挤扩机理,并将其应用到变截面扩径桩施工工艺中,介绍了涡压挤扩设备及施工工艺流程。结果表明,采用涡压挤扩方法实施变截面桩的施工工艺在理论上可行,具有较强的适用性,涡压挤扩方法将为桩基础行业注入新的活力。
扩径桩可大幅提高桩基础承载力已成为不争的事实,所以目前国内外岩土工程界都在做扩径桩研究,尤其是扩径桩的施工工艺研究,通过扩径来提高桩的承载力。提出了螺纹桩、螺杆桩、支盘桩等若干扩径桩的施工工艺,但上述扩径桩的施工工艺都存在各种问题,从而阻碍了扩径桩的推广。例如,预制螺纹桩在施工时由于扭矩很大容易开裂,这样对其自身的抗扭强度要求很高,这就要求增加钢筋混凝土强度,造价很高;而现浇螺纹桩在工程实践中经常出现由于土体承载力较大,设备自重或压力不够,土对钻具的反力大于钻机压力,致使钻杆出现原地旋转“打滑”,这时就会破坏螺牙之间土体的抗剪强度,虽然成桩后看似是有螺纹,但实际上螺牙之间土体已被剪坏,成了直筒桩,失去了扩径桩应有的性能;支盘桩在液压承压盘回缩以及灌注混凝土的过程中,容易造成扩径部坍塌,导致桩身颈缩和夹泥,成为废桩。
为了克服现有技术存在的上述缺陷,提出了涡压挤扩机理,设计了涡压挤扩钻具,并在实验室内进行了方向性验证试验,将涡压挤扩钻具应用于扩径桩的成桩工艺中。试验表明:该成桩设备和方法能有效地实现沿桩身不同部位挤压扩径的目的,施工所用的钢套管可重复利用,施工简单,无需开挖原土,缩短工期及降低造价,桩体承载力大,适用于各种砂性土质和黏性土质。
1 传统扩径桩发展状况
1.1变截面桩的发展历史
随着桩基理论的发展与工程经验的积累,传统的等截面桩不能充分发挥桩的承载力,造成人力和物力的浪费,此时变截面桩就在等截面桩基础上逐步发展起来,1833年,英国人AlexanderMitchell设计了一种带螺纹叶片的钢预制桩-螺纹锚杆桩用于泰晤士灯塔基础,是早的应用记录(见图1a);1893年,人工挖孔扩底桩在美国问世(见图1b),人工挖孔桩掀起了一场桩基历史上的革命,至今还有诸多在人工挖孔桩的基础上研究新的扩底桩,如我国近年推荐采用锅底形扩底桩,日本也在该领域做出了很大贡献;20世纪50年代后期,印度开始在膨胀土中采用多节扩孔桩(见图1c);20世纪60年代和70年代,印度、英国及前苏联在黏土、砂土、粉土、黑棉土和黄土中采用多节扩孔桩;20世纪80年代后期,张俊生发明挤扩多分支承力盘混凝土桩(简称支盘桩) (见图1d);21世纪初,李波扬等发明了螺纹桩施工技术(见图1e)。

图1 变截面扩径桩发展历史
1.2变截面扩径桩承载能力成倍提高原因
变截面桩与直杆桩相比其承载力机理具有其自己的独特性,使得承载力能大幅度提高,其原因可归结为以下几点。
1)荷载逐级传递将轴向荷载通过扩径端逐级传递到各土层中,使桩端荷载减小,能充分发挥桩身及土层的承载潜力,充分利用不同地基土层较高的承载力,而不将荷载过多地传递到桩底,避免由桩端持力层单独承受荷载,导致桩端持力层破坏。
2)增大接触面积变截面使得桩与土的接触面积增大,能有效发挥桩、土之间相互作用的能力,增加桩体的稳定性,提高承载力。
3)桩体外形粗糙桩-土界面形状凹凸不平,可以获得较大的桩侧阻力。
4)挤压地基土体扩径部挤密土体,使土体强度得到提高,在承受荷载时,支端显示出很大的阻力,充分调动了地基土中储备的潜力。
1.3变截面扩径桩存在的问题
目前结合实际来看,变截面桩承载效果显著,但整体应用仍处于技术开发阶段。施工工艺存在障碍,很难理想成桩;理论分析不成熟,成桩机理尚不明确。常见的变截面扩径桩的特点和性能如表1所示。

表1 几种变截面桩的特点和性能
从表1可以看出,变截面扩径桩在承载能力方面具有突出的优势,但施工工艺方面都存在各自的劣势,致使其难以广泛推广,为此本文采用涡压挤扩机理,提出一种新的变截面扩径桩施工方法,即涡压式旋转分层扩径桩的施工方法。
2 涡压挤扩机理介绍
涡压挤扩机理是利用涡压叶片在旋转的过程中使涡压腔内的流态混凝土获得动能和静压能(其中静压能占主导),获得静压能的流态混凝土经过涡压腔口被涡压套管挤压到套管外的周围土体中,使流态混凝土在深度土层位置向水平方向挤扩。此机理已在实验室内得到充分验证(见图2)。运用涡压挤扩机理进行扩径桩的施工,石子被挤入到周围土体中形成扩径体,能够有效地挤密桩周土体;水泥浆被挤扩、带入到扩径体中与石子凝结固化之后,形成了坚实的扩径部。通过在不同深度的地基土层设置扩径部,增大了接触面且挤密了地基土,在受压时,扩径部将轴向荷载分级分配给不同地基土层,充分利用不同地基土层较高的承载力,而不将荷载过多地传递到桩底,避免由桩端持力层单独承受荷载,导致桩端持力层破坏。

图2 涡压挤扩机理的试验验证
3 涡压挤扩设备
涡压式旋转分层扩径桩的施工设备主要包括挤扩设备和桩架两大部分,如图3所示。挤扩设备由涡压钢套管、旋扭齿轮、涡压腔、预制混凝土桩头组成(见图3b),桩架由锤击装置、旋扭装置、车体、立柱和斜撑等组成(见图3a)。

图3 涡压挤扩设备
钢套管底部为开口,顶部设置与旋扭设备匹配的齿轮。靠近钢套管底部的内侧设有涡压腔(见图3b),涡压腔由涡压叶片和涡压叶片上、下两端之间的钢套管所围成的空间组成;在涡压叶片处开设2个对称的涡压腔口,作为流态混凝土向外水平挤压出口,每个开口的宽度(沿钢套管圆周方向的长度)为钢套管1/4周长,开口高度与涡压叶片的高度相同(见图3c);涡压叶片由两个完全相同的半圆环钢板反对称焊接而成,呈S形(见图3d),涡压叶片两端之间的直线距离与钢套管的直径相同;S形涡压叶片的两端分别与涡压腔出口的竖向侧边焊接固定,将焊缝打磨光滑,涡压叶片所采用的钢材型号、钢板厚度与钢套管的钢材型号、钢板厚度相同,涡压叶片与钢套管之间连接形成顺滑曲面,利于流态混凝土向外水平挤压;钢套管底部的内、外径尺寸与预制混凝土桩头形状、尺寸匹配,使得混凝土桩头恰好能嵌入钢套管底部,并留有一定空隙以套管拔出时能够顺利与预制混凝土桩头脱离(见图3b,3e);旋转齿轮内侧为光圆柱面,外侧设有啮合齿,旋转齿轮的内径与钢套管的外径相同,旋转齿轮的顶面与钢套管的顶面平齐,旋转齿轮箍焊在钢套管的顶部外侧,旋转齿轮作为锤击套管和旋扭套管的传力装置(见图3b,3f)。
4 涡压式旋转分层扩径桩的施工工艺流程
利用前述成桩设备进行涡压式旋转分层扩径桩施工的具体工艺流程如下:
1)第1步:钢套管就位(见图4a)将预制混凝土桩头对准要锤管入土的部位,将钢套管落在混凝土预制桩头上。
2)第2步:锤管入土(见图4b)利用夯锤将钢套管连同混凝土预制桩头一同打入土层至预定标高。
3)第3步:灌注混凝土(见图4c)将扩径桩所用的混凝土从钢套管顶部灌注到钢套管内。
4)第4步:旋扭套管(见图4d)将旋扭动力设备连接到钢套管顶部的旋转齿轮上,通过转动旋转齿轮带动钢套管一同旋转,在涡压叶片的挤压驱动作用下,套管内混凝土经过涡压腔口被沿水平方向涡压挤扩到周围土体中,起到扩径、挤密的作用,达到涡压扩径的目的;旋扭至预先设计的扩径尺寸之后,结束旋扭。
5)第5步:提升套管(见图4e)完成涡压扩径之后,提升钢套管至上一需要形成扩径部的土层。
6)第6步:实施上一土层的涡压扩径(见图4f)重复第3~4步,完成上一层土层的涡压扩径。可根据工程需要形成扩径部的数量,重复实施第3~5步。
7)第7步:拔出钢套管(见图4g)将所有需要形成扩径部的部位实施涡压挤扩完毕之后,将混凝土灌注到钢套管内部至地面位置,缓慢拔出钢套管,插入钢筋笼,完成该桩的涡压挤扩工作。

图4 涡压式旋转分层扩径桩的施工工艺流程
5 结语
分析了传统变截面扩径桩的发展历史、优势及其不能广范推广的原因,提出了“涡压挤扩机理”,并将其应用到涡压式旋转分层扩径桩的成桩方法中,详细说明了涡压挤扩设备的设计方案及扩径桩施工工艺流程。可知,涡压挤扩设备简单,易加工制作;现行的桩基础施工设备与涡压式旋转分层扩径桩施工工艺所用的设备兼容性好,略加改造即可用于本方案。综合分析表明,采用涡压挤扩法实施涡压式旋转分层扩径桩的方案可行,具有较强的适用性。随着对“涡压挤扩机理”更深入的研究,还可将其应用到岩土工程领域中的诸多方面,如地基处理、抗拔桩、泥浆护壁和锚固支护土体等。也可将其扩展应用到其他技术领域,如石油行业中所用到的固井技术、机械领域的流体机械等。
一、土方工程冬期施工
1、地基土的保温防冻
⑴ 翻松表土耙平法:在预先确定冬季挖土的地面上,将表土翻松并耙平,翻松的土层中充满空气的孔隙可降低土层的导热性。翻松耙平的深度根据当地土层冻结深度确定,一般在入冬之前的秋季进行施工。
翻松耙平防冻法:

翻松耙平进行地基土的保温防冻:

⑵ 覆盖保温材料法:对已开挖的基槽(坑),保温材料铺设在基槽(坑)底表土上面,靠近基槽(坑)壁处,保温材料需加厚;对未开挖的基槽(坑),保温材料铺设宽度为土层冻结深度的两倍与基槽(坑)宽度之和。适用于面积较小的地面防冻或较小的基槽(坑)防冻。
路基覆盖保温材料:

覆盖保温材料法:
⑶ 覆雪保温法:大面积的土方工程可在地面上设篱笆或雪堤,高度一般为0.5~1m;基坑(槽)土方工程可在基坑(槽)位置的地面上挖积雪沟,将雪填满,防止未挖掘的土层冻结。适用于降雪量较大的地区。
覆雪保温防冻法:
⑷ 暖棚保温法:适用于防止已开挖基坑(槽)基土受冻的方法。一种是在基坑(槽)上面铺设木楞、木板和15~20mm的保温材料;另一种是在基坑(槽)底面铺设珍珠岩袋、稻草、炉渣等保温材料,然后搭设塑料大棚。
青藏铁路在施工中采用热棒技术:
它通过散热和吸取冷气,将冻土层温度始终控制在0摄氏度以下,使冻土不发生融化,路基和路面结构稳定,不发生沉陷和变形.避免了地表开挖、铲除植被、路堤取土等人为工程活动对冻土生态环境的破坏。

2、冻土的开挖
⑴ 人工开挖:适用于面积较小的沟槽(坑)和不适宜大型机械的地方,一般是一个人用尖镐刨或3~4人一组用铁楔子劈冻土。
⑵ 机械开挖:当冻土层厚度为0.4m以内时,可用挖掘机、松土机等土方机械开掘冻土层;如冻土层厚度超过0.4~1.2m时,可用打桩机破碎或重锤击碎冻土,然后用装载机或正、反铲装车运出。
⑶ 爆破法开挖:冻土层厚度小于2m时,应采用爆破法开挖冻土方。
多轮斗式挖掘机进行冻土开挖:

3、冻土回填
⑴ 房屋内部不允许用冻土回填。
⑵ 回填地下管道的沟槽时,管顶上50cm厚范围内不得用冻土回填,50cm以下部分冻土体积不得超过15%。
⑶ 构筑物及有路面的道路,路基范围内管沟不得用冻土回填。
⑷ 为确保冬季回填的质量,必要时可用干砂土进行回填。
⑸ 在冻胀土上的地梁、桩基的承台,其下面有可能被冻土隆起,要回填炉渣、矿渣等松散材料。
⑹ 所有回填地方,均须排除积水,清除冰块等杂物。其每层填铺厚度一般不超过20cm,用夯锤实或碾压机压实。
⑺ 回填土工作应连续进行,防止基土或已填土层受冻。
二、钢筋工程的冬期施工
1、钢筋的负温焊接
当环境温度低于-50C时,钢筋焊接接头应优先选用闪光对焊,也可使用电渣压力焊和电弧焊。
⑴ 焊工须持有钢筋焊工上岗证,负温下施焊前须进行现场条件下的焊接性能试验,合格后方可施焊。
⑵ 负温下焊接时应调整焊接工艺参数,使焊缝和热影响区缓慢冷却。焊接时严格防止产生过热、烧伤、咬肉和裂纹等缺陷,防止在接头处产生偏心受力状态。加强焊工的劳动保护,防止发生烧伤、触电及火灾等事故。
⑶ 风力超过四级时,应采取挡风措施。焊后未冷却的接头应避免碰到冰雪。
⑷ 当环境温度低于-200C,不得进行施焊。
三、砼工程的冬期施工
1、砼的搅拌
⑴ 原材料的加热:优先采用加热水的办法,当加热水仍不能满足要求时,再对骨料进行加热。水和骨料的加热温度一般不超过800C和600C;当水、骨料达到规定温度仍不满足热工计算要求时,可提高水温至1000C,但水泥不得与800C以上的水直接接触;
水泥不得直接加热,宜采用“暖棚法”加热并存放。
⑵ 搅拌前,先用热水或蒸汽冲洗搅拌机。投料时,先投骨料和已加热的水,然后再投入水泥;水泥不应与800C以上的水直接接触,避免水泥假凝;
⑶ 外加剂应与水泥同时加入;
⑷ 拌制掺有外加剂的砼时,搅拌时间应比常温时间延长50%;
⑸ 砼拌合物出机温度不宜低于100C,入模温度不宜低于50C。
2、砼的浇筑
⑴ 不得在强冻胀性地基土上浇筑砼,在弱冻胀性地基土上浇筑时,基土应进行保温,以免遭冻;
⑵ 分层浇筑厚大整体式结构砼时,已浇筑层的砼温度在未被上一层砼覆盖前应不低于20C。采用加热养护时,也不得低于20C;
⑶ 浇筑装配式结构接头的砼,应先将结合处的表面加热至正温。浇筑后的接头砼在温度不超过450C的条件下养护至设计要求强度,设计无规定时,强度不得低于强度标准值的75%。
融雪化冰:


3、蓄热法
利用原材料预热和水泥水化热,通过适当的保温,延缓砼的冷却,使砼在正温条件下达到受冻临界强度的一种常用施工方法。适用于室外气温不低于-80C(结构表面系数7.5)的结构。
⑴ 蓄热法的特点:施工简单、不需外加热源、节能、冬期施工费用低,冬期施工应优先采用。只有确定蓄热法不能满足要求时,才考虑选择其它方法。
⑵ 蓄热法的三个要素:砼入模温度、围护结构的传热系数和水泥水化热值。
蓄热法适用于不太寒冷地区(室外平均气温不低于-150C )或表面系数不大于10的厚大结构以及地下结构。
4、蒸汽加热法
蒸汽加热法一种是湿热养护(棚罩法、蒸汽套法及内部通汽法),蒸汽与砼直接接触,利用蒸汽的湿热作用来养护砼;另一种是干热养护(毛管法、热模法),蒸汽作为热载体,通过散热器将热量传导给砼使砼升温。
蒸汽养护砼时,采用普通硅酸盐水泥时养护温度不超过800C,采用内部通气法加热温度不超过600C。
蒸汽养护:

T 梁蒸汽养护:

5、暖棚法
在建筑物或构件周围搭设大棚,通过人工加热使棚内空气保持正温,砼的浇筑和养护均在棚内进行,适用于砼工程较集中(如地下工程)的区域。暖棚常以脚手架材料为骨架,塑料薄膜、帆布或编织布围护。优点:劳动条件好、效率高、质量有,施工操作与常温无异;缺点:暖棚搭拆用工多、供热需大量能源,费用较高,棚内温度低(通常不超过100C),砼强度增长慢。
采用暖棚法要棚内各点温度均不低于50C,采用明火升温时要注意防火防毒。
当日平均气温低于-100C时,暖棚法难以奏效。
暖棚法施工:

四、砖石砌筑工程的冬期施工
1 掺盐砂浆法
⑴ 掺盐砂浆法的适用范围
我国在砌体工程冬期施工中普遍采用掺盐砂浆法。
下列工程严禁采用掺盐砂浆法施工:对装饰有特殊要求的建筑物;使用湿度大于80%的建筑物;接近高压电路的建筑物;热工要求高的建筑物;配筋砌体;钢埋件无可靠防腐处理措施的砌体;处于地下水位变化范围内,以及在水下未设防水保护层的结构。
⑵ 掺盐砂浆法的施工工艺
① 材料的要求:
● 砌体在砌筑前,应清除冰霜;
● 砂中不得含有冰块和直径大于10mm 的冻结块;
● 石灰膏等应防止受冻,如已冻结,应经融化后方可使用;
● 水泥应选用普通硅酸盐水泥;
● 拌制砂浆的水温不得超过800C;砂的温度不得超过400C。
② 砂浆的要求:掺盐法应按不同气温控制掺盐量;当氯盐掺量过少,水化反应极其缓慢,会降低早期强度。如氯盐掺量大于10%,砂浆的后期强度会显著降低,同时导致砌体析盐量过大,增大吸湿性,降低保温性能。按气温情况规定的掺盐量见下表。
当日气温等于或低于-15 0C 时,承重砌体的砂浆强度等级应提高一级;原材料的加热应优先加热水,满足不了温度时再进行砂的加热。砂浆拌制的投料顺序是:水和砂先拌,再投放水泥。砂浆应采用机械进行拌和,搅拌时间比常温季节增加一倍。拌和后的砂浆应注意保温。砂浆砌筑时温度应不低于5 0C 。
⑶ 施工准备工作
砌体中配置的钢筋及预埋件,应预先做好防腐处理。钢筋可涂樟丹2~3 道或者涂沥青1~2 道,以防钢筋锈蚀。
烧结砖在负温度条件下,应尽量浇热盐水。当气温过低,浇水确有困难,则须适当增大砂浆的稠度。
⑷ 砌筑施工工艺
采用掺盐砂浆法砌筑砌体,砌体转角处和交接处应同时砌筑,对不能同时砌筑而又必须留置的临时间断处,应砌成斜槎;砌体表面不应铺设砂浆层,宜采用保温材料加以覆盖;继续施工前,应先用扫帚扫净砖表面,然后再施工。
冬期施工砂浆试块的留置,应增加不少于1 组与砌体同条件养护的试块,测试检验28d 强度。
2 冻结法
冻结法是不掺化学外加剂的普通水泥砂浆铺砌完毕后,允许砌体冻结的施工方法。
⑴ 冻结法的适用范围:
冻结法允许砂浆砌筑后遭受冻结,解冻后其强度仍可继续增长。对有保温、绝缘、装饰等特殊要求的工程和受力配筋砌体及不受地震区条件限制的其他工程,均可采用冻结法施工。
冻结法施工的砂浆,经冻结、融化和硬化3个阶段后,使砂浆强度,砂浆与砖石砌体间的黏结力都有不同程度的降低。砌体在融化阶段,由于砂浆强度接近于零,将会增加砌体的变形和沉降。所以下列结构不宜选用:空斗墙;毛石墙;承受侧压力的砌体;解冻期间可能受到振动或动力荷载的砌体;解冻时不允许发生沉降的砌体。
⑵ 冻结法的施工工艺
① 材料的要求:冻结法的砂浆使用温度不应低于100C;当日气温高于或等于-250C时,承重砌体的砂浆强度等级应提高1级;当日气温低于-250C时,则应提高2级。砂浆强度等级不得小于M2.5,重要结构其等级不得小于M5.0。
② 砌筑施工工艺:
砌筑时一般应采用“一顺一丁”砌筑法。施工中宜采用水平分段施工,一个施工段的墙体同时砌至一个施工层的高度,不得间断。每天砌筑高度和临时间断处均不宜大于1.2m。不设沉降缝的砌体,其分段处的高差不得大于4m。
砌体水平灰缝应控制在10mm以内。为达到灰缝平直、砂浆饱满和墙面垂直及平整的要求,砌筑时要随时检查,发现偏差及时纠正。如发现砌体歪斜,不准敲墙、砸墙,须拆除重砌。
③ 砌体的解冻:砌体解冻时,其砂浆强度接近于零,下沉量比常温施工增大10%~20%。砌体在解冻期间的稳定性较差,在开冻前应进行检查、开冻过程中应组织观测。发现裂缝、不均匀下沉等情况,应分析原因并立即采取加固措施。
为解冻时砖砌体均匀沉降不出现裂缝,应采取下列措施:
● 解冻前应清除房屋中剩余的建筑材料等临时荷载。开冻前宜暂停施工。
● 留置在砌体中的洞口和沟槽等,宜在解冻前填砌完毕。
● 跨度大于0.7m 的过梁,宜采用预制构件。
● 门窗框上部应留出3~5mm的空隙作为解冻后预留沉降量。
● 在楼板水平面上,墙的拐角处、交接处和交叉处每半砖设置一根Φ6 钢筋拉结。伸入相邻墙内必须大于1m。
五、 装饰工程的冬期施工
1、一般抹灰冬期施工
⑴ 热作法施工:是利用房屋的或临时热源提高和保持操作环境的温度,人为创造一个正温环境,使抹灰砂浆硬化和固结。热作法一般用于室内抹灰。常用的热源有:火炉、蒸汽、远红外线加热器等。
室内抹灰应在屋面防水层已做好的情况下进行。在进行室内抹灰之前,应将门、窗封闭,脚手眼堵好,且室内温度不应低于50C。抹灰前墙体、地面基层应为正温,方能进行施工。抹灰工程结束后,至少应保持7d不低于+50C的室温,方可停止供热。
⑵ 冷作法施工:是在负温下不施加任何采暖措施而进行抹灰作业,称为冷作抹灰。在使用的砂浆中掺入氯化钠等抗冻剂,以降低抹灰砂浆的冰点。掺氯盐的冷作法抹灰,严禁用于高压电源部位。用冻结法砌筑的墙,室外抹灰应待其完全解冻后施工。不得用热水冲刷冻结的墙面或用火消除墙面的冰霜。冷作抹灰砂浆抗冻外加剂的掺量,应根据预计环境温度而定。
2、其他装饰工程的冬期施工
冬期进行油漆、刷浆、裱糊、饰面工程,应采用热作法施工。室内温度应保持平衡,不得突然变化,低于规定的室内温度。否则不能工程质量。
冬期气温低,油漆会发黏不易涂刷,涂刷后漆膜不易干燥。可在油漆中加入一定量的催干剂,在24h内干燥。

摘 要:通过工程实例介绍双套管取土无共振沉管桩机在基础工程拔桩清障施工中的作用,较水冲法具有不稀化土层,较全回转钻机成本降低50%,适合于我国广大地区基础工程清障施工。
关键词:套管取土无共振;偏心力矩可调式振动锤;拔桩
1 设备组成
双套管取土无共振沉管桩机包括履带式多功能桩架、150-240KW偏心力矩可调式振动锤、夹具、双套管。桩机核心技术在于偏心力矩无级可调式振动锤,而且具有激振力大、低噪音、低温升等优点。
2 拔桩
上世纪八、九十年代,在我国东部沿海城市广泛采用预制桩、沉管灌注桩和钻孔灌注桩盖多层住宅,现在随着城镇建设的发展,原来多层住宅楼所处的地段又往往都是寸土寸金的城市。
沉管灌注桩和钻孔灌注桩,配筋基本上是桩长的2/3,而且,沉管桩还有桩尖,采用此方法能一管打尽,如图5浙江嘉兴工地如是两节预制桩,是基本很少为通长配筋,而是钢筋笼长仅是桩长的2/3,采用挖出桩头起拔,势必将素砼桩部分断在地下。套管取土无共振沉管桩机却可以圆满完成拔整根桩,而且,还将沉管灌注桩桩尖也一并带出。

图1 振动锤通过夹具将双套管振入土层
图2 夹具夹住内套管上拔
图3 振动锤将内套管内下节素砼桩身振落
图4 振动锤将上节钢筋砼桩身振落
图5 嘉兴工地将原沉管桩桩尖一管打尽
图6 内套管内可见上浮1.8m的钢筋砼桩头卡在夹具内牙之间
图7 内套管内可见上浮1.8m的钢筋砼桩身及钢筋头
拔桩原理:当双套管下沉深度超过旧桩桩长1-2m,在沉管过程中,由于振动锤的高频振动,使部分土层局部液化而轻松进入内管,这样,一可避免挤土效应破坏地下管网或影响邻近建筑物安全;二可利用上涌土将旧桩上抬(图6、7)。然后,在无振动状态下上拔内管,直到完全拔出,土与内管的内壁间的摩擦力大于管内土与旧桩的重量,使内管里的土和旧桩在静拔时不会掉下;
应用工程如嘉兴工地拔Φ377直径,桩长11-15m的旧沉管灌注桩项目,套管Φ800,套管长16m,场地地质如表1。原桩顶标高在地面下1.5m,当套管顶端振沉离地面1m时,内管内己出现旧桩顶,桩身上浮约1.8m。
旋喷桩兴起于二十世纪七十年代的高压喷射注浆法,八、九十年代在全国得到全面发展和应用。实践证明此法对处理淤泥、淤泥质土、粘性土、粉土、沙土、人工填土和碎石土等有良好的效果,我国已将其列入现行的《地基与基础施工规范》。
旋喷桩是利用钻机将旋喷注浆管及喷头钻置于桩底设计高程,将预先配制好的浆液通过高压发生装置使液流获得巨大能量后,从注浆管边的喷嘴中高速喷射出来,形成一股能量高度集中的液流,直接破坏土体,喷射过程中,钻杆边旋转边提升,使浆液与土体充分搅拌混合,在土中形成一定直径的柱状固结体,从而使地基得到加固。施工中一般分为两个工作流程,即先钻后喷,再下钻喷射,然后提升搅拌,每米桩浆土比例和质量。
一、施工要求
施工前整平场地,路基填料采用素土(两侧路堤、人行道及非机动行车道范围填筑粘土)。
施工前行成桩实验性施工,以确定合适的水泥浆浓度、喷浆量、
喷浆压力、喷浆提升速度等施工工艺参数,为正式施工提供依据,试桩数量不得少于5根。

二、工作步骤
1.高压旋喷由于高压空气和高压水切割、置换,将会产生大量的水泥土浆,应就地设置泥浆沉淀地。
2.布置好高压泵,泥浆泵搅拌机,制浆材料堆场和水、电、输浆管路等,并进行机具设备的检修和调试。
3.布孔放样
根据设计图纸和说明书进行孔位放样,采用跳孔喷浆的方法。
4.钻孔将钻机就位
钻头准确定位居中,钻孔位置与设计位置偏差小于10cm。钻架矫正摆平,钻杆垂直,倾斜度小于等于1.5%,开始钻孔,钻孔过程中要经常注意钻杆偏斜情况,及时矫正。钻孔孔口采用套管保护。
5.制备浆液
利用搅拌机,将水与42.5普通硅酸盐水泥按1:1的水灰比充分搅拌均匀,制备水泥浆液,随时拌制随时喷注。
6.插管喷浆
旋喷机具就位,校正机架水平度和喷主管的垂直度,灌注管插入高喷孔前采用中等压力试喷,以检查喷射和灌浆系统是否畅通,然后用卷扬机将灌注管插入钻孔设计深度,开始喷射灌浆作业,按成桩实验确定提升速度,和旋转速度,边提升喷灌管边旋转,待喷管达到设计长度范围内停止喷浆,将灌注管提出孔口,在钻孔内进行静压灌浆,防止固结体形成凹形。
7.移动机架和冲洗管路
灌注完毕,移动机架,冲洗管路器具,开始下一个孔的施工。
三、施工注意事项
为防止浆液凝固收缩影响施工桩顶标高,可在原孔位采用冒浆回灌或二次注浆措施.
挡土墙位置待高压旋喷桩施工完毕28天并检测合格后,开挖基坑,敲掉上部桩头,施工挡土墙.
其他未尽事宜请严格按照《公路路基施工技术规范》JTGF10-2006执行。
四、操作工艺
(1)测量放线:根据设计的施工图和坐标网点测量放出施工轴线。
(2)确定孔位:在施工轴线上确定孔位,编上桩号、孔号、序号,依据基准点进行测量各孔口地面高程。
(3)钻机造孔:可采用泥浆护壁回转钻进、冲击套管钻进和冲击回转跟管钻进等方法。
1)钻机主钻杆对准孔位,用水平尺测量机体水平、立轴垂直,钻机要垫平稳牢固。
2)钻孔口径应大于喷射管外径20~50mm,以喷射时正常返浆、冒浆。
3)开钻前由项目部技术组下达造孔通知书,报监理工程师批准后开钻。
4)造孔每钻进5m用水平尺测量机身水平和立轴垂直1次,以钻孔垂直。
5)钻进过程中为防止塌孔采用泥浆护壁,黏土泥浆容重一般为1.1~1.25g/cm3。
6)钻进过程中随时注意地层变化,对孔深、塌孔、漏浆等情况,要详细记录。
7)施工场地勘察资料不详时,每间隔20m布置一先导孔,查看终孔时地层变化。
8)钻孔终孔深度应大于开喷深度0.5~1.0m,以满足少量岩粉沉淀和喷嘴前端距离。
9)终孔后将孔内残留岩芯和岩粉捞取置换干净,换入新的泥浆,高喷顺利下管。
10)孔深达到设计深度后,进行孔内测斜,孔深小于30m时,孔斜率不大于1%。
11)钻孔完成后及时将孔口盖好,以防杂物掉入孔内。12)钻孔记录要填写清楚、整洁,经监理、质检员、施工员签字后当天交技术组。
13)采取套管跟管钻进方法时,在起拔套管前应向孔内注满优质护壁泥浆。
14)当采用振冲沉管时,应机架和沉管(喷射管)的垂直度,满足设计要求。
(4)测量孔深:钻孔终孔时测量钻杆钻具长度,孔深大于20m时,进行孔内测斜。
(5)下喷射管:钻孔经验收合格后,方可进行高压喷射注浆,下喷射管前检查以下事项。
1)测量喷射管长度,测量喷嘴中心线是否与喷射管方向箭一致,喷射管应标识尺度。
2)将喷头置于高压水泵附近,试压管路应小于20m,试喷调为设计喷射压力。
3)施工时下喷射管前进行地面水、气、浆试喷,即设计喷射压力+管路压力。
4)设计喷射压力+管路压力为施工用的标准喷射压力,更换喷嘴时重新调试。
5)摆喷施工下喷射管前,应进行地面试喷并调准喷射方向和摆动角度。
6)地面试喷经验收合格后,下入喷射管时,应采取措施防止喷嘴堵塞。
7)孔内沉淀物较多时,应事先准备黏土泥浆,下喷射管时边冲入泥浆边下管。
8)钻孔当采用套管护壁时,下入喷射管后,拔出护壁套管。
9)当采用振冲沉管时,必须满足以上要求。
10)当喷射管下至设计深度时,经监理工程师批准后,准备开喷。
(6)搅拌制浆:搅拌机的转速和拌和能力应分别与所搅拌浆液类型和灌浆泵的排浆量相适应,并应能均匀、连续地拌制浆液。高压喷射注浆连续供浆需量。
1)按设计的水灰比拌制水泥浆液,常用水灰比为1。
2)水泥浆的搅拌时间,使用高速搅拌机不少于60s;使用普通搅拌机不少于180s。
3)纯水泥浆的搅拌存放时间,自制备至用完的时间应少于2.5h。
4)浆液应在过筛后使用,并定时检测其密度。
5)制浆材料称量可采用质量或体积计量法,其误差应不大于5%。
6)炎热夏季施工应采取防热和防晒措施,浆液温度应保持在5~40℃。
7)寒冷季节施工应做好机房和高压喷射注浆管路的防寒保暖工作。
8)若用热水制浆,水温不得超过40℃。
9)浆液使用前,检查输浆管路和压力表,浆液顺利通过输浆管路喷入地层。
10)水泥浆液中需要加入适量的外加剂及掺合料构成复合浆液,应通过试验确定。
(7)供水供气:施工用高压水和压缩气的流量、压力应满足工程设计要求。
1)单管法,施工用高压水泥浆的密度、流量、压力应符合设计要求。
2)两管法,施工用高压水泥浆和压缩气的流量、压力要符合设计要求。
3)三管法,施工用高压水和压缩气的流量、压力要符合设计要求。
(8)喷射注浆:高压喷射注浆法为自下而上连续作业。喷头可分单嘴、双嘴和多嘴。
1)当注浆管下至设计深度,喷嘴达到设计标高,即可喷射注浆。
2)开喷送入符合设计要求的水、气、浆,待浆液返出孔口正常后,开始提升。
3)高压喷射注浆喷射过程中出现压力突降或骤增,必须查明原因,及时处理。
4)喷射过程中拆卸喷射管时,应进行下落搭接复喷,搭接长度不小于0.2m。
5)喷射过程中因故中断后,恢复喷射时,应进行复喷,搭接长度不小于0.5m。
6)喷射中断超过浆液初凝时间,应进行扫孔,恢复喷射时,复喷搭接长度不小于1m。
7)喷射过程中孔内漏浆,停止提升,直至不漏浆为止,继续提升。
8)喷射过程中孔内严重漏浆,停止喷射,提出喷射管,采取堵漏措施。
9)对有特殊要求的注浆孔,可采用复喷来增加喷射长度和强度。
10)喷射过程中,要记录每个高压喷射注浆孔施工时间全过程。
(9)冒浆:高压喷射注浆孔口冒浆量的大小,能反映被喷射切割地层的注浆效果。孔口冒出的浆液能否回收利用,取决于工程设计和冒浆质量的好与差,工程中尽可能利用回浆。
1)单管法、两管法,孔口冒出的浆液不回收利用。
2)单管法、两管法,注浆过程中,冒浆量小于注浆量的20%时为正常现象,冒浆量超过20%或完全不冒浆时,应采取下列措施:a.当地层中有较大空隙引起不冒浆时,可在浆液中掺合适量的速凝剂,缩短固结时间,使浆液在一定的土层范围内凝固,也可在空隙地段增大注浆量,填满空隙后再继续喷射。b.当冒浆量过大时,可通过提高喷射压力,或加快喷射的提升速度,减少冒浆量。
3)三管法,注浆过程中不冒浆,孔内严重漏浆,可采取以下措施处理:a.孔口少量返浆时,应降低提升速度,孔口不返浆时,应立即停止提升。b.加大浆液浓度或水泥砂浆,掺入少量速凝剂。c.降低喷射压力、流量,进行原位注浆。
4)三管法,根据工程设计要求,可回收利用孔口冒出的浆液。a.在含黏粒较少的地层中进行高压喷射注浆,孔口冒浆经沉淀处理后方可利用。b.在黏性土或软塑至流塑状淤泥质土层中注浆,其孔口冒浆不宜回收利用。
(10)旋摆提升:单嘴喷头摆360°为旋喷;小于360°为弧喷;小于等于180°为拱喷;小于等于90°为摆喷;摆角为0°时为单向定喷。同轴双嘴喷头摆180°为旋喷;小于180°为双向拱喷;小于等于90°为双向摆喷;摆角为0°时为双向定喷。非同轴双嘴喷头有90°夹角、120°夹角、150°夹角,可用于摆喷和定喷。多嘴喷头目前国内使用的不多。旋摆为机械旋摆和特殊环境下人工旋摆。
1)高压旋喷切割土体一周,旋摆和提升速度慢,喷射半径长,形成桩径大。
2)高压摆喷切割土体,摆动和提升速度慢,喷射半径长,形成凝固体积大。
3)高压定喷切割土体,提升速度慢,喷射半径长,形成凝固体板长。
4)提升速度应与注浆量匹配,供浆量应满足提速,提速应满足喷射半径长度。
5)高压喷射注浆机械旋摆,形成凝固体积规则,人工旋摆,形成凝固体积不规则。
6)旋摆定喷射过程中要固定喷方向桩,以便随时检查和防止喷方向位移。
7)喷射过程中接卸换管时要检查喷方向,防止喷射方向位移。
8)按设计要求旋摆定喷射提升,自下而上至设计标高,停止喷射,提出喷射管。
9)旋喷注浆适用于细颗粒和粗颗粒松散地层,定喷注浆适用于细颗粒松散地层。a.定喷:适用于黏性土、粉土、砂土细颗粒松散地层。b.摆喷:适用于黏性土、粉土、砂土、砾石中颗粒松散地层。c.旋喷:适用于黏性土、粉土、砂土、砾石、卵石粗颗粒松散地层。
(11)成桩成墙:高压喷射注浆凝固体可形成设计所需要的形状,如旋喷形成圆柱状、盘形状,摆喷形成扇形状、亚铃状、梯形状、锥形状和墙壁状,定喷形成板状。
(12)充填回灌:每一孔的高压喷射注浆完成后,孔内的水泥浆很快会产生析水沉淀,应及时向孔内充填灌浆,直到饱满,孔口浆面不再下沉为止。终喷后,充填灌浆是一项非常重要的工作,回灌的好与差将直接影响工程的质量,必须做好充填回灌工作。
1)将输浆管插入孔内浆面以下2m,输入注浆时用的浆液进行充填灌浆。
2)充填灌浆需多次反复进行,回灌标准是:直到饱满,孔口浆面不再下沉为止。
3)对高压喷射注浆凝固体有较高强度要求时,严禁使用冒浆和回浆进行充填回灌。
4)对高压喷射注浆凝固体只有抗渗要求时,可以使用冒浆和回浆进行充填回灌。
5)应记录回灌时间、次数、灌浆量、水泥用量和回灌质量。
(13)清洗结束:每一孔的高压喷射注浆完成后,应及时清洗灌浆泵和输浆管路,防止清洗不及时不彻底浆液在输浆管路中沉淀结块,堵塞输浆管路和喷嘴,影响下一孔的施工。
1 前言
在深基坑支护作业中三轴搅拌桩内插管桩支护形式由于其占地面积小、挡水效果强、环境污染小、对周围地基影响小且施工方便、节约成本被广泛使用。
2 工法特点
与钢筋混凝土钻孔灌注桩以及地下连续墙施工相比,三轴搅拌桩内插管桩施工表现出作业速度快,止水围护效果显著,成本较低,对周围环境影响较小等特点。
3 适用范围
适用于地铁、隧道、大型公共建筑地下室车库、商场、超市以及软土地基基础围护等工程。
4 工艺原理
通过三轴搅拌机钻头喷浆、搅拌下沉至设计桩底标高,钻头喷浆与原土壤搅拌并提升至设计桩顶标高成桩,同时按照设计要求插入钢筋混凝土管桩,形成一道连续的止水围护墙。
5 工艺流程
工艺流程:场地平整→测量放线→挖掘导槽→桩机就位→制备水泥浆液及浆液注入→钻进搅拌→管桩吊装→插管桩

场地平整示意图

测量放线 开挖沟槽示意图
线锤对钻杆垂直定位示意图
三轴搅拌机就位示意图
三轴搅拌机钻进搅拌示意图
操作设备示意图
随着城市建设的发展,城市地上空间越来越紧迫,地下空间开发利用逐渐成为城市建设和发展的重要组成部分。近年来,软土深基坑工程逐渐呈现出基坑“深、大、密”;基坑设计理念由强度控制趋向变形控制;计算分析从二维平面设计过渡到三维空间设计等特点。宁波市土木建筑学会地基基础学术委员会主任委员吴才德结合近年来宁波地区软土深基坑支护工程实践,介绍了当前深基坑工程中的几个热点问题。
热点问题一:深大基坑内支撑体系的设计与施工
宁波地区属于典型的软土地质,土体具有高压缩性、高含水量、高触变性、高灵敏性、低渗透性等显著特点。通过对宁波地区多个基坑工程进行调查分析,在基坑长度大于100m,基坑面积大于15000m2时,圆环内支撑体系与传统支撑体系相比,具有支撑变形更小,经济性及施工便利性更高的特点。圆环内支撑的主要类型有:整圆环、双圆环、多圆环、半圆环、大半圆、椭圆(见图1)。


b采用三圆环支撑的2层地下室
图1圆环内支撑体系
典型工程:宁波国际金融中心北区工程,基坑开挖面积约48000m2,
支护结构约880延米,开挖深度17.0~22.0m。采用地下连续墙+(3~4)道钢筋混凝土水平内支撑。通过对井字撑、十字撑、田字撑等支撑方案进行比选,终采取四周角撑,中间设一椭圆内支撑(长轴直径240m,短轴直径180m),中间对撑兼做施工栈桥的支撑方案(见图2)。采用这种支撑体系,基坑净空面积大,极大地方便了施工。三维模型及空间计算分析如3所示。
图2宁波国际金融中心北区工程基坑支护
图3三维模型及空间计算分析
对于典型深大基坑内支撑体系的设计与施工,应注意以下几点:①必须进行空间三维分析;②对关键部位应进行加固,如拱顶加固、拱脚加固,强拱弱撑和区块单独稳定;③挖土方案的优化须考虑对称开挖,拱顶后挖,强化整体垫层;④前期方案设计过程中必须考虑支撑拆除方案,做到分区分块拆除,加快工程进度。
热点问题二:基坑群的设计及相互影响分析
近年来,城市各类新区的集群开发日益兴起,相邻的几个甚至几十个深基坑同期施工的案例不断涌现,从而提出了基坑群设计、施工、管理的新课题。随着地下空间的不断开发,基坑群的数量将持续上升,规模也将进一步扩大。
典型实例:南部商务区基坑群工程(见图4)。在本工程基坑群设计过程中,采取了三维建模和空间计算分析,对基坑之间的相互影响、支撑拆除、基坑施工对周边道路、管线、过街隧道的影响,围护桩、墙施工,底板、垫层施工等都进行了模拟分析。
图4 南部商务区基坑群平面示意
基坑群设计、施工、管理的主要难点体现在:①土压力、支撑力不平衡;②基坑多道支撑标高不一致带来相互影响;③桩基、开挖施工时对邻近已开挖基坑造成影响;④各基坑不同步拆撑带来的二次不平衡问题;⑤各区域施工堆场布置对基坑群安全的影响;⑥基坑群区域内施工通道的整体规划;⑦相邻地下室之间地下通道的围护衔接;⑧基坑的整体漂移问题;⑨区域内基坑开挖和降水带来超沉问题。
针对以上难点,建议采取以下措施:①各单位派技术人员组成统一的基坑群管理指挥部,统一协调调度,同时邀请相关专家参加;②尽量统一相邻基坑的支撑标高;③对基坑周边施工道路的使用进行统一管理协调,严格控制各基坑之间的道路荷载,若临近基坑边行走则需对行车道路进行加固;④加强各施工单位的统一场平布置,合理布置堆载区间,将荷载对相邻基坑的影响控制在安全范围内;⑤相邻基坑间适当采取主被动区加固,止水帷幕切断透水层;⑥相邻基坑顶部采用刚性连接;⑦统一协调安排支撑体系拆撑,避免支撑拆除过程中土压力不平衡带来的相互影响;⑧严格按照通过专家论证的挖土方案进行挖土施工,同时挖土过程中应征求相邻基坑的意见,必要时需停止挖土或改变挖土线路,并及时采取加固措施;⑨明确相邻地下室之间地下通道的施工范围划分,并做好围护结构之间的衔接;⑩加强各基坑和周边的监测,各家监测数据共享,引入第三方监测,做到整体施工动态控制。
热点问题三:深基坑周边重要建(构)筑物的保护和基坑开挖的沉降控制
当前城市项目开发多集中在密集的建筑群内和地铁路网间,且地下室开挖深度越来越深,在这种背景下,对于一些古建筑和地铁区间等非桩基础的保护,水平和沉降变形的控制显得尤为重要。
典型实例:和丰创意广场工程,分南北两个地下室,南区基坑开挖面积31000m2,北区基坑开挖面积28500m2,开挖深度10~12m。基坑采用钻孔桩+2道钢筋混凝土水平内支撑、高压旋喷桩和三轴搅拌桩作为止水帷幕。需原地保护的小洋房位于基坑中部,已有100年历史,浅基础,2层砖木结构,具有较高的历史和艺术价值(见图5)。为保护小洋房,采取了以下技术措施:①对古建筑采取SMW工法桩+5道圈梁,随着基坑的开挖,层层设置圈梁体系(见图6);②为防止古建筑由于挖土不均匀引起整体侧移,在第1和第3道圈梁位置设置连系梁与支护结构相连;③采用高压旋喷桩进行坑底加固;④加强古建筑本身的整体刚度以及加强屋盖系统同承重墙之间的节点连接构造,使其成为一个完整的受力整体;⑤四周土体均匀开挖,及时做好圈梁施工,确保结构均匀受力;⑥岛内水位实时补充;⑦岛边基础垫层适当加强。通过采取以上措施,施工现场监测数据显示:①实测沉降均匀,为42~44mm,小洋房无明显开裂;②通过实时回灌,地下水位下降量控制在2m以内;③SMW工法桩+5道圈梁体系深层土体位移控制良好,总量在30mm以内。
图5和丰创意广场基坑及小洋房位置
图6小洋房保护措施
在深基坑周边有重要建(构)筑物的情况下,设计与施工时应做到:详尽调查建筑结构状况;采用空间计算方法对所有工况进行预分析;支护体系加固与周边建筑自身加固相结合;围护设计与挖土施工紧密配合;动态监控、设计与施工紧密结合。
通过对多个工程实践进行分析,总结归纳出基坑周边沉降的主要原因有:①支护桩桩身(地连墙墙身)变形;②基坑坑底隆起;③支撑杆件变形;④桩缝(墙缝)间水土流失;⑤地下水位下降;⑥基坑边重型车辆频繁行走导致主动力学指标下降;⑦基坑边大量堆载引起土的二次固结;⑧基坑坑底无支撑暴露时间过长;⑨多道支撑体系支撑设置不及时;⑩受恶劣天气影响。
基坑开挖对周边沉降的控制技术要点:①增加支护桩桩径(地连墙墙厚),提高其刚度;②增加支护桩(地连墙)长度;③主被动区土体加固;④增加支撑杆件截面或增加预加载措施、增设预应力锚杆;⑤支护桩(地连墙)外侧设置可靠的止水(挡土)帷幕;⑥采用切断透水层的措施防止地下水位下降,必要时采取实时回灌,控制水位下降;⑦基坑边严禁重型车辆频繁行走,重行走区域采用桩基加固;⑧基坑边堆载根据设计要求严格控制;⑨及时设置各道支撑;⑩加快基础垫层施工速度,坑底可改为素混凝土或钢筋混凝土垫层;设计时采用三维技术进行分析预演;围护设计应结合施工组织方案进行;做好恶劣天气的预防工作。


潜孔钻机也需要维护,但是如何维护并不是所以人都了解,下面为大家介绍潜孔钻机维护知识:
一、机组的安装:
1、准备好凿岩空间,空间大小可根据凿孔所用机型及凿方法确定。
2、将气水(需水除尘时)管路、照明线路等引至工作点附近待用。
3、按孔位设计的需求,钻机可靠定位。
二、作业前的检查:
1、开始工作时,应仔细检查气、水(需水除尘时)管路是否联接的牢固,尤其是风水管接头与风水管联接必须牢固,以防脱扣伤人,各联接处均不准有漏气漏水现象。
2、检查油雾器内是否已经装有机油(不应装入太满)。
3、检查各部分的螺丝、螺帽、接头等处是否都已拧紧,各种定位是否牢固可靠。
三、凿孔作业程序及卸杆方法:
1、开孔时,先以较小冲击功,推进力及低转速钻进,以便于钎头定位,(需除尘时,给于适当的水量以减少粉尘)待钎头钻进10公分左右时,再以全风门冲击,并适当加大推进力,提高转速,(需除尘时使气水混合物保持适当比例),进行正常的凿岩工作,钻完一根钻杆要停止风马达运转和停止给冲击器送气送水,把叉子插到托钎器的钻杆槽中,使风马达反转,滑板后退,使接头与钻杆脱开,再接第二根钻杆进行钻凿,如此连续工作。
2、卸杆方法:本钻杆卸杆是半自动化进行的,是依靠卸杆器、托钎器与两个叉子及其风马达的反转等相配合实现的。卸杆时,回转机后移当钻杆的第二槽(钻杆公接头端靠钻杆中部的槽)与托钎器的四方框正对时,用叉子插牢第二槽,然后反转马达,当卸杆器四方框与钻杆槽(钻杆公接头端靠钻杆端部的槽)正对时,用第二个叉子插牢,取出个叉子(托钎器四方框内的叉子),操纵推进气缸,使卸杆器带动钻杆后移,当第二根钻杆的第二个槽对正托钎器槽时,反转马达,当两根钻杆的螺扣脱开后取下根钻杆,如此依次卸下各钻杆。
四、操作中应注意事项:
1、随时注意检查气、水(用水除尘时)路各部分螺钉、螺帽、接头的联接情况及机架和主机的紧固情况。
2、随时注意观察油雾器的工作情况,检查风马达、冲击器的润滑情况。
3、定期用汽油或柴油清洗冲击器、风马达、观察马达叶片的损伤情况。
4、钻凿时不允许反转,以免钻杆脱扣。
5、机器在短时间内停止工作时,要给于少量的压气,以避免泥沙浸入冲击器内部,若在较长时间内停止工作时,需将冲击器提到距孔底1-2米处再行固定。
6、工作中应注意冲击器的声音和机器运转情况是否正常,发现不正常的现象应立即停机检查。
7、加接新钻杆时,要特别注意钻杆内清洁,以避免砂土混入冲击器内部损坏机件或发生停机事故。(一般用压气吹、洗数次即可)。
8、作业面有积水时,开孔要用大直径钎头,然后插入套管,并使套管露出地面100-200毫米长,防止岩渣泥浆进入孔内。
五、钻孔机器保养和润滑:
1、每个工作班结束时,都必须把机器表面的污物清除干净。
2、严禁在工作表面大拆大卸,(拆成组件便于搬运的情况例外),以免丢失另件和损坏另件的关键部位。
3、定期给油雾器加机油,以确保操纵阀、风马达及冲击器具有良好的润滑。
4、减速箱用钙基润滑脂机油混合润滑,定期添加润滑剂,润滑剂占箱体空隙的1/3-2/3为宜,以确保减速箱的润滑。
5、推进结合部中由于滑板与滑架的相对运动造成滑架与压板及滑板的摩损,轻微摩损时可去掉压板下的调整垫,摩损较重时可换压板、滑板或滑架,以确保较高的钻孔精度。
常见故障处理
一、断钻杆:
1、钻杆断裂多数情况是属于钻杆与孔壁摩擦,使钻杆壁厚减薄,强度过于削弱,而使钻杆断裂。
2、预防处理:加接钻杆时要注意检查,要停止使用摩损过量的钻杆。
二、冲击器不响:
1、常见有以下四种情况:
(1)阀片打碎;
(2)钎头尾部打坏碎碴进入缸体卡住锤体;
(3)排气孔被岩粉堵住;
(4)向下凿时,孔内积水多排气阻力大,冲击器不易起动。
2、处理方法:发现冲击器不响时,先按以上四种原因检查;检查的方法是将冲击器提升一段,减小排气阻力,将水喷出一部分,再慢慢推向孔底,若此法不灵时,则很可能属于前三种原因,需将冲击器卸下清洗或更换另件。
三、卡钻:
1、除遇有复杂地层能使机器在正常钻进中卡钻外,尚有如下原因:
①.钎头断翼;
②.新换钎头较原来直径大;
③.凿岩时机器发生位移致使钻具在孔中偏斜;
④.凿岩时孔壁或孔口掉落石块或遇到大裂隙或溶洞;
⑤.遇有黄泥夹碎石的破碎带,岩粉排不出来;
⑥.操作上疏忽,长时间停钻时,没有吹净岩粉,也没有提起钻具,使冲击器被岩粉埋没。
2、处理方法:就目前钎头的强度,断翼已基本杜绝,一旦遇到有特殊情况,可先将孔底的岩粉吹净,然后用一段直径与孔径差不多的无缝管,里面装满黄油或沥青,与钻杆连接送入孔底,将孔底的断翼沾取出来,遇到后五种卡钻的情况时,比较严重的情况是钻具提升不起,放不下去,风马达不转,冲击器不响,此时只有借外加扭矩或用辅助工具帮助提升,使钻具回转,然后要边给气边提升钻具直至故障排除为止。重新凿岩时先稍给压力,再逐渐增加到正常的工作压力。
四、钎头碎片、掉角、脱片:
1、遇有钻杆产生跳动时,可能是岩层变化的交换处或掉入了石头块、合金片。从外表判断,若是掉合金片,几乎不能进尺,钻杆跳动也比较有节奏。
2、当证实了掉合金片时,可提起钻具用强力吹风法吹出合金块,当吹不出时,也可用处理钎头的断翼的办法沾取,如恰好孔内有断层或破碎带时,将合金挤入这些地方的孔壁,也可不取出,换新钎头继续钻凿。
五、风马达使用注意事项:
1、马达与胶管联接前,应仔细清理胶管,可打开管路气阀若干秒钟,用压缩空气吹净胶管再行联接。
2、马达与胶管联接必须牢固。
3、操作前,必须油雾器有润滑油,润滑油路畅通。不允许在缺乏润滑油的情况下工作。
4、发现马达运转不正常时,应立即停止工作,进行检修,禁止在工作面大拆大卸。
一、抗浮锚杆受力原理
抗浮锚杆受拉构件,一端锚固在建筑物底板,另一端锚固在地基的持力层中,受力过程首先是通过锚固体钢筋与注浆体之间的作用将上拔力传至注浆体上;而后通过注浆体与周边土层之间的摩擦力将注浆体所受到的力传至周围稳定土体中去,从而形成具有一定抗拔能力的抗浮锚杆,起到抗浮锚杆的抗浮作用。

二、施工流程

三、成孔过程中质量通病防治
通病现象1:孔位误差大
产生原因:,测量放线误差;第二、放线后未对测量成果保护;第三、钻孔施工未对准测放点 。
产生后果:锚杆间距超过规范要求,不能通过验收。
防治措施:、放线后,对测量成果进行复核;第二、成孔前,对测放点通过与周边点距离进行复核。
通病现象2:施工工作面标高低于设计标高
产生原因:土方开挖时,未严格控制标高,至使超挖
产生后果:锚杆锚固段内地层被挠动,不能提供设计要求的锚固力
防治措施:土方开挖时严格控制标高
通病现象3:锚孔深度与设计有出入
产生原因:、锚杆施工场地高低不平,未对锚杆位置进行标高测量;第二、成孔施工随意,终孔时未进行测量
产生后果:锚杆锚固段长度不足或锚杆锚入筏板长度不足
防治措施:、锚杆放孔时,同时测量孔位标高;第二、计算成孔深度,终孔时,测量钻孔深度
通病现象4:地层与地勘报告不符时调整锚孔深度
产生原因:钻孔时,未对实际地层进行编录,未发现与地勘报告不符的软弱层,或出现后,未对锚杆长度进行调整
产生后果:锚杆锚固力不满足设计要求,锚杆验收试验不合格
防治措施:成孔时进行编录,发现与地勘报告不符的软弱层,及时对锚杆长度进行调整
通病现象5:独立柱及条形基础位置锚孔深度未考虑独立柱深度
产生原因:未考虑独立柱及条形基础深度
产生后果:锚杆锚固段长度不足
防治措施:施工前,统计独立柱及条形基础厚度,锚孔深度相应加深,对应至每根锚杆
通病现象6:碎石类地层锚杆深度范围内有地下水
产生原因:降水时未考虑抗浮锚杆施工地下水要求,地下水未降至锚杆底部以下
产生后果:锚杆施工时,砂层及砾石沉淀至孔底,注浆时不能孔底注浆,锚杆锚固段减少
防治措施:降水设计时,考虑抗浮锚杆施工,水位降至锚杆底部
通病现象7:泥岩中孔壁有泥皮
产生原因:由于岩层中有地下水,成孔过程中,孔壁产生泥皮,终孔时,未对锚孔进行清洗,同时,锚孔放置久后,孔内泥浆沉淀
产生后果:锚固体与地层摩阻力降低,锚杆锚固力不足
防治措施:锚孔终孔时,先向孔内加水,再用压缩空气从孔底将水吹出,反复几次,可将孔壁泥皮清洗干净,锚杆放入后,及时注浆





(1) 主要技术内容

1、振冲密实法
利用专门的振冲器械产生的重复水平振动和侧向挤压作用,使土体的结构逐步破坏,孔隙水压力迅速增大。由于结构破坏,土粒有可能向低势能位置转移,这样土体由松变密。
施工工艺:
(1)平整施工场地,布置桩位;
(2)施工车就位,振冲器对准桩位;
(3)启动振冲器,使之徐徐沉人土层,直至加固深度以上30~1250px,记录振冲器经过各深度的电流值和时间,提升振冲器至孔口。再重复以上步骤1~2次,使孔内泥浆变稀。
(4)向孔内倒人一批填料,将振冲器沉人填料中进行振实并扩大桩径。重复这一步骤直至该深度电流达到规定的密实电流为止,并记录填料量。
(5)将振冲器提出孔口,继续施工上节桩段,一直完成整个桩体振动施工,再将振冲器及机具移至另一桩位。
(6)在制桩过程中,各段桩体均应符合密实电流、填料量和留振时间等三方面的要求,基本参数应通过现场制桩试验确定。
(7)施工场地应预先开设排泥水沟系,将制桩过程中产生的泥水集中引入沉淀池,池底部厚泥浆可定期挖出送至预先安排的存放地点,沉淀池上部比较清的水可重复使用。
(8)应挖去桩顶部lm厚的桩体,或用碾压、强夯(遍夯)等方法压实、夯实,铺设并压实垫层。
2、沉管砂石桩(碎石桩、灰土桩、OG桩、低标号桩等)
利用沉管制桩机械在地基中锤击、振动沉管成孔或静压沉管成孔后,在管内投料,边投料边上提(振动)沉管形成密实桩体,与原地基组成复合地基。
3、夯击碎石桩(块石墩)
利用重锤夯击或者强夯方法将碎石(块石)夯人地基,在夯坑里逐步填人碎石(块石)反复夯击以形成碎石桩或块石墩。
以上内容整理仅供参考,如有问题请及时沟通、指正。

一、定义:
1、静压管桩:利用抱压设备或顶压设备将预制管桩通过抱压力或顶压力将桩沉入预定的标高或达到预定的终压值的施工方法。
2、灌注桩:灌注桩系是指在工程现场通过机械钻孔、钢管挤土或人力挖掘等手段在地基土中形成桩孔,并在其内放置钢筋笼、灌注混凝土而做成的桩,依照成孔方法不同,灌注桩又可分为沉管灌注桩、钻孔灌注桩和挖孔灌注桩等几类。
3、CFG复合地基处理:
a.CFG 桩:又称水泥粉煤灰碎石桩。
b.水泥粉煤灰碎石桩法:由水泥、粉煤灰、碎石、石屑或砂等混合料加水拌和形成高黏结强度桩,并由桩、桩间土和褥垫一起组成复合地基的地基处理方法。
二、施工流程
1、静压管桩的施工程序为:测量放线定位——桩机就位——复核桩位——吊桩插桩——校正垂直度——静压沉桩——接桩——再静压沉桩——送桩——终止压桩——桩质量验收——切割桩头
2、灌注桩主要施工工艺流程为:场地平整→孔位测定→护筒埋设→钻机就位→开钻成孔→提钻→次清孔→检孔→钢筋笼吊放→下导管→第二次清孔→水下混凝土灌注→提拔导管→成桩。
3、CFG 桩复合地基技术采用的施工方法有:长螺旋钻孔灌注成桩,长螺旋钻孔、管内泵压混合料灌注成柱,振动沉管灌注成桩等。一般流程为:测量放线→桩机就位→成孔钻进→砼搅拌→泵送砼及提升钻杆成桩。
三、几种基础形式及造价分析
A、基础的大体分类:建筑物分上部结构和下部机构(基础),基础又分为浅基础和深基础。
1、一般埋深小于5m的为浅基础,大于5m的为深基础。
2、也可以按造施工方法划分,用普通基坑开挖和敞坑排水方法修建的基础为浅基础(如:砖混结构墙基础,高层建筑箱形基础)。用特殊施工方法将基础埋植于深层地基中的基础称为深基础(如:桩基础、沉井、地下连续墙等)。
B、常见浅基础的类型
1、独立基础
概念:是整个或局部结构物下的无筋或配筋的单个基础。
特点:方形,上下分几级,结构简单,造价低,可以根据上部荷载的需要进行尺寸大小的调整,
适用范围:常用于荷载低的轻钢厂房、水塔、多层住宅、机器设备基础等,应用十分普遍。
2、条形基础
概念:是指基础长度远远大于基础宽度的一种基础形式。
特点:条形,结构简单,造价低,也可根据上部荷载调整基础宽度。
适用范围:多应用于多层建筑,沿着墙下分布,地基土质好的情况下为适用。
3、筏板基础
概念:用钢筋混凝土做成连续整片基础,俗称“满堂红”。
特点:基础面积大,整体沉降均匀,节省构造板,造价较高。可根据荷载调整厚度,荷载大时配合着桩基础使用组成桩筏基础。
适用范围:地基不好的多层建筑、带有地下室的多层、高层建筑。
4、箱型基础
概念:由钢筋混凝土底板、顶板和足够数量的纵横交错的内外墙组成的空间结构。
特点:刚度大、沉降均匀,混凝土用量大易出现裂缝,造价高,箱型空间可作为人防,停车场等,目前采用的较少。
适用范围:高层建筑、大型设备基础、地下车站。
以绿地世纪城为例
(一)工程概况
本工程拟建高层住宅楼9栋,框剪结构,基础埋深约5m,以7#楼为例(占地面积约525m2,地上18层,地下1层),总建筑面积约9975m2,建筑物总荷载截取20KN/m2则该住宅楼总荷载为:20KN/m2x9975 m2=199500KN.
(二)经济比较分析
衡量桩基的经济效益,以每米造价或以单方混凝土造价对比都是不科学的,应以单位承载力(每KN的造价)及单个工程桩基总造价作对比才是合理的。根据岩土工程勘察报告和工程经验,就本工程可能采用的三种桩型分析如下:
1. 单桩竖向承载力特征值估算(见表1)
单桩竖向承载力特征值计算表(表1)
桩型 |
桩端持力层 |
平均有效桩长(m) |
桩径 |
单桩竖向承载力特征值(KN) |
钻孔灌注桩 |
9层粉砂夹粉土 |
25 |
600 |
2200 |
CFG桩 |
7层粉砂夹粉土 |
16.5 |
400 |
520 |
管桩 |
7层粉砂夹粉土 |
18 |
PHC500*100A |
2000 |
管桩 |
7层粉砂夹粉土 |
22 |
PHC400*95AB |
1300 |
注:各种桩型承载力特征值应通过现场载荷实验确定(管桩可试桩)
2. 每KN承载力成桩造价对比分析(见表2)
三种桩型每KN承载力造价计算表(表2)
桩型 |
平均有 效桩长 |
桩径(mm) |
单桩承载特征值(KN) |
单桩位工程量 |
市场价 |
单桩造价(元) |
每KN造价(元) |
钻孔 |
25m |
600 |
2200 |
7.06m2 |
1000元/ m3 |
7060 |
3.71 |
CFG桩 |
16.5m |
400 |
520 |
16.5 |
68元/米 |
1122 |
2.16 |
管桩 |
18m |
PHC500*100AB |
2000 |
18m |
205元/m |
3690 |
1.85 |
管桩 |
22m |
PHC400*80AB |
1300 |
22m |
145元/m |
3190 |
2.45 |
3.单项工程总造价对比分析(见表3)
7#楼基础布桩及总造价计算表(表3)
总荷载(KN) |
600钻孔灌注桩 |
CFC桩 |
|||
单桩承载力特征值 |
总桩数 |
单桩承载力特征值 |
总桩数 |
||
7#楼 |
199500 |
2200KN |
109个 |
520KN |
301个 |
成桩总造价 |
76.95万元 (7060元/个X 109个) |
33.74万元 (1121元/个X 301个) |
|||
筏板及基础梁造价 |
29.80万元 184m3 (防水板)+147 m3 (承台)=331 m3 X 900元/m3 |
47.25万元 525m3(筏板)X 950元/ m3 |
|||
基础总造价 |
106.75万元 (76.95+29.80) |
83.61万元 (33.74+49.87) |
|||
住宅 |
总荷载(KN) |
PHC-A500(100)管桩 |
PHC-AB400(95)管桩 |
||
单桩承载力特征值 |
总桩数 |
单桩承载力特征值 |
总桩数 |
||
7#楼 |
199500 |
2000KN |
125个 |
1300KN |
169个 |
成桩总造价 |
46.13万元 (3690元/个X125个) |
53.91万元 (3190元/个X 169个) |
|||
防水板及承台造价 |
27.45万元 184 m3 (防水板)+121 m3(承台)=305 m3X 900元/ m3 |
28.89万元 184 m3 (防水板)+137 m3(承台)=321 m3X 900元/ m3 |
|||
桩基础总造价 |
73.58万元 (46.13+27.45) |
82.8万元 (53.91+28.89) |
|||
说明: 1.总桩数=K X总荷载/单桩承载力特征值(按照结构设计经验,单桩承载力越高利用率越低。PHC-A500(100)管桩K=1.25,钻孔桩K=1.20,PHC-AB400(80)管桩K=1.10,CFG桩K=0.785)。 2.防水板厚度350mm,筏板(内置基础梁)厚度1000mm。由于承台部分无实际图纸,故按设计经验计算500桩承台占占地面积23%,400桩占26%,由于灌注桩桩径较大600桩占占地面积的28%左右。 |
|||||
(三)推荐桩型
通过以上分析,我们建议本工程采用PHC预应力管桩。PHC管桩因技术、质量可靠、造价低、工期短将得到广泛推广和应用。现就管桩生产与施工作一些简单的介绍。
1、质量优势:管桩为工厂现代化制作,混凝土强度等级C80以上,出厂前都经过多道质量检验程序把关,运到现场又经业主(驻地监理)现场检查验收合格后才准使用,桩身质量有。其它在现场灌注混凝土桩受场地条件及施工人为因素的影响,容易出现缩颈、桩身夹泥、承载力不够等质量问题,因此,管桩的桩身质量明显优于在现场灌注混凝土的其它桩型。使用管桩施工现场干净卫生,并没有泥土污染,施工人员少,用电设备固定,安全易控制,工艺简单直观,便于监理。
2、设计优势:管桩规格多,单桩承载力特征值从600KN到3300KN,既适用于多层建筑,也适用于100 m 以下的高层建筑,而且在同一建筑物基础中,还可根据柱荷载的大小采用不同直径的管桩,既容易解决设计布桩单桩的承载力利用率问题,也可充分发挥每根桩的承载能力,并使桩基沉降均匀。
3、价格优势:管桩价格优势十分明显,通过7#楼桩基础总造价分析(见表3),可以得出以下经济对比结论:
①:使用钻孔桩比使用PHC-A500(100)管桩贵33.17万元,多投资45.08%;
②:使用CFG桩比使用PHC-A500(100)管桩贵10.03万元,多投资13.63%;
4、工期优势:施工管桩周期快、时间短,先打桩再进行基坑开挖,节省降水成本并减少因降水对周边建筑物影响的风险。
综上所述:
桩型 |
工期 |
造价 |
质量 |
安全 |
测桩数 |
灌注桩 |
25天 |
106.75万元 |
浮动大 |
影响较小 |
3根 |
CFG桩 |
20天 |
83.61万元 |
浮动大 |
对周围影响大 |
6根 |
PHC-500*100AB桩 |
7天 |
73.58万元 |
稳定可靠 |
无影响 |
3根 |
PHC-400*95AB桩 |
10天 |
83.919万元 |
稳定可靠 |
无影响 |
3根 |

一、基坑支护工程
(1)基坑支护工程是个临时工程,设计的安全储备相对可以小些,但又与地区性有关。不同区域地质条件其特点也不相同。基坑支护工程又是工程、结构工程以及施工技术互相交叉的学科,是多种复杂因素交互影响的系统工程,是理论上尚待发展的综合技术学科。
(2)由于基坑支护工程造价高,开工数量多,是各施工单位争夺的重点,又由于技术复杂,涉及范围广,变化因素多,事故频繁,是建筑工程中有挑战性的技术上的难点,同时也是降低工程造价,确保工程质量的重点。
(3)基坑支护工程正向大深度、大面积方向发展,有的长度和宽度均超过百余米,深度超过20余米。工程规模日益增大。
(4)岩土性质千变万化,地质埋藏条件和水文地质条件的复杂性、不均匀性,往往造成勘察所得的数据离散性很大,难以代表土层的总体情况,并且度较低,给基坑支护工程的设计和施工增加了难度。
(5)在软土、高地下水位及其他复杂场地条件下开挖基坑,很容易产生土体滑移、基坑失稳、桩体变位、坑底隆起、支挡结构严重漏水、流土以致破损等病害,对周边建筑物、地下构筑物及管线的安全造成很大威胁。
(6)工程实践证明,要做好基坑支护工程,必须包括整个开挖支护的全过程,它包括勘察、设计、施工和监测工作等整个系列,因而强调要精心做好每个环节的工作。
(7)随着旧城改造的推进,各城市的主要高层、超高层建筑大都集中在建筑密度大、人口密集、交通拥挤的狭小场地中,基坑支护工程施工的条件均很差。邻近常有必须保护的性建筑和市政公用设施,不能放坡开挖,对基坑稳定和位移控制的要求很严。
(8)基坑支护工程包含挡土、支护、防水、降水、挖土等许多紧密联系的环节,其中的某一环节失效将会导致整个工程的失败。
(9)相邻场地的基坑施工,如打桩、降水、挖土等各项施工环节都会产生相互影响与制约,增加事故诱发因素。
(10)在支护工程设计中应包括支护体系选型、围护结构的承载力、变形计算、场地内外土体稳定性、降水要求、挖土要求、监测内容等,应注意避免“工况”和计算内容之间可能出现的“漏项”,从而导致基坑失误。在施工过程中,尤其在软土地区中施工时,应该认真研究合理安排好挖土的方法,以及支撑与挖土的配合,将会显著地减少基坑变形和基坑支护事故的发生。
(11)基坑支护工程造价较高,但又是临时性工程,一般不愿投入较多资金。可是,一旦出现事故,处理十分困难,造成的经济损失和社会影响往往十分严重。
(12)基坑支护工程施工周期长,从开挖到完成地面以下的全部隐蔽工程,常需经历多次降雨、周边堆载、振动、施工不当等许多不利条件,其安全度的随时性较大,事故的发生往往具有突发性。
二、基坑支护特点范围
放坡开挖
适用于周围场地开阔,周围无重要建筑物,只要求稳定,位移控制无严格要求,价钱,回填土方较大。
深层搅拌水泥土围护墙
深层搅拌水泥土围护墙是采用深层搅拌机就地将土和输入的水泥浆强行搅拌,形成连续搭接的水泥土柱状加固体挡墙。水泥土围护墙优点:由于一般坑内无支撑,便于机械化快速挖土;具有挡土、止水的双重功能;一般情况下较经济;施工中无振动、无噪音、污染少、挤土轻微,因此在闹市区内施工更显出优越性。水泥土围护墙的缺点:首先是位移相对较大,尤其在基坑长度大时,为此可采取中间加墩、起拱等措施以限制过大的位移;其次是厚度较大,只有在红线位置和周围环境允许时才能采用,而且在水泥土搅拌桩施工时要注意防止影响周围环境。
高压旋喷桩
高压旋喷桩所用的材料亦为水泥浆,它是利用高压经过旋转的喷嘴将水泥浆喷入土层与土体混合形成水泥土加固体,相互搭接形成排桩,用来挡土和止水。高压旋喷桩的施工费用要高于深层搅拌水泥土桩,但其施工设备结构紧凑、体积小、机动性强、占地少,并且施工机具的振动很小,噪音也较低,不会对周围建筑物带来振动的影响和产生噪音等公害,它可用于空间较小处,但施工中有大量泥浆排出,容易引起污染。对于地下水流速过大的地层,无填充物的岩溶地段永冻土和对水泥有严重腐蚀的土质,由于喷射的浆岩无法在注浆管周围凝固,均不宜采用该法。
槽钢钢板桩
这是一种简易的钢板桩围护墙,由槽钢正反扣搭接或并排组成。槽钢长6~8m,型号由计算确定。其特点为:槽钢具有良好的耐久性,基坑施工完毕回填土后可将槽钢拔出回收再次使用;施工方便,工期短;不能挡水和土中的细小颗粒,在地下水位高的地区需采取隔水或降水措施;抗弯能力较弱,多用于深度≤4m的较浅基坑或沟槽,顶部宜设置一道支撑或拉锚;支护刚度小,开挖后变形较大。
钢筋混凝土板桩
钢筋混凝土板桩具有施工简单、现场作业周期短等特点,曾在基坑中广泛应用,但由于钢筋混凝土板桩的施打一般采用锤击方法,振动与噪音大,同时沉桩过程中挤土也较为严重,在城市工程中受到一定限制。此外,其制作一般在工厂预制,再运至工地,成本较灌注桩等略高。但由于其截面形状及配筋对板桩受力较为合理并且可根据需要设计,可制作厚度较大(如厚度达500mm以上)的板桩,并有液压静力沉桩设备,故在基坑工程中仍是支护板墙的一种使用形式。
钻孔灌注桩
钻孔灌注桩围护墙是排桩式中应用多的一种,在中国得到广泛的应用。其多用于坑深7~15m的基坑工程,在中国北方土质较好地区已有8~9m的臂桩围护墙。钻孔灌注桩支护墙体的特点有:施工时无振动、无噪音等环境公害,无挤土现象,对周围环境影响小;墙身强度高,刚度大,支护稳定性好,变形小;当工程桩也为灌注桩时,可以同步施工,从而施工有利于组织、方便、工期短。
工程桩也为灌注桩时,可以同步施工,从而施工有利于组织、方便、工期短;桩间缝隙易造成水土流失,特别时在高水位软粘土质地区,需根据工程条件采取注浆、水泥搅拌桩、旋喷桩等施工措施以解决挡水问题;适用于软粘土质和砂土地区,但是在砂砾层和卵石中施工困难应该慎用;桩与桩之间主要通过桩顶冠梁和围檩连成整体,因而相对整体性较差,当在重要地区,特殊工程及开挖深度很大的基坑中应用时需要特别慎重。

桩基围护结构是深基坑支护的主要方式,但在高水位地区的基坑围护桩桩间,由于围护结构桩后水压力比较大及季节性的水位变化,经常会造成桩间竖向止水帷幕破坏,从而发生漏水现象。
由于漏水现象的出现,导致墙后水土压力发生改变,基坑四周地面出现不均匀的沉降或沉陷。同时,由于漏水使基坑内部的施工受到很大的影响。根据围护桩间漏水的受力模型与工程实例的对比分析结果,提出在高水位地区防止桩间漏水的具体方法和漏水的处理方案。
1.问题的提出
在基坑工程施工中,为了防止基坑边坡的坍方,经常会在基坑四周设置各种各样的围护结构。由于在围护桩结构设计时,设计人员一般将桩净距控制在200~1200mm。这样桩间土就要承担基坑四周水土的压力。在高水位地区,由于水压力比较大,所以经常会造成桩间土的破坏(土体抗剪强度低,而水土压力大)并发生漏水、流砂、流泥等现象。
同时,在某些沿海地区的砂土回填区,由于海水与地下水通过中、粗、砾砂层相连,回填区的地下水位随着海水的涨落而升降,这进一步加剧了水压力所产生的危害(动水压力的影响)。在基坑工程施工中,面对这种可能突发的事故,如果没有有效的处理方式,将会产生严重的后果。
2.止水帷幕的设计
止水帷幕的设计包括两部分内容:竖向止水帷幕和水平向止水帷幕。对于嵌岩桩由于底部为不透水层,所以仅进行竖向止水帷幕的设计。
如果地下水位较高,透水性较大的土层(如砂层、卵石层、粉土层和杂填土等)中开挖深基坑,除了采用围护结构挡土外,还需配合设置竖向止水帷幕,以防止水从桩间向坑内渗流,产生流砂(泥)现象。设计步骤如下:
设置深度:一般应穿过透水层进入粘性土层或岩石层1~2m。
帷幕方法:高压喷射注浆法、深层搅拌法、压力灌浆法、射水成墙法、小径钻孔灌注桩等方法。
帷幕厚度:帷幕桩与围护桩结构间搭接宽度应不小于桩长的1.2%~1.5%。
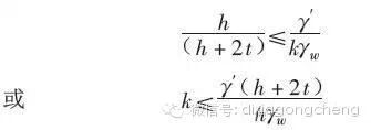
2.1 坑底边旁流土条件的验算
在深基坑工程中,围护结构的设计主要是在墙后的水土压力作用下,围护结构自身的稳定以及墙后土体的整体滑动稳定。当坑底以下土层为细砂、粉砂及粉土等容易产生流土的条件下,则尚需进行流土条件的验算。设止水帷幕插入深度为t,坑内外水位差h,则不产生流土的条件是:

其中:k为安全系数,一般取1.5~2.0;γ'γw分别为土的浮重度和水的重度%对于粘性土来说,一般无须验算。
2.2 水压力的计算(按嵌岩桩考虑)
计算简图如图1所示。
水压力的分布为梯形分布。当桩间出现渗漏水现象时,墙后填土有效压力增大。假设由于渗漏水使墙后填土的地下水位下降了H深度,则土压力增大了(γ-γ')HKa(其中Ka为主动土压力系数),而水压力减小了H,由于γ-γ'<γw,所以墙后总压力减少了γwH-Ka(γ-γ')H。对于墙来说这是好事,有利于墙的受力但由于墙后水的渗漏,在桩间极易产生流砂(泥),导致基坑四周地面出现不均匀的下沉,甚至沉陷。另外,由于渗漏水的出现是点式的,所以导致基坑四周水压力大小差异过大,围护桩受力不均匀,变形不均匀,会造成局部桩的倾斜过大的问题。
3.工程事故实例
3.1 工程概况
深圳某工程有地下室三层,基坑深度为-15.000m,为确保基坑和基坑四周的安全,采用桩式围护结构,桩径为1400mm,桩距1600mm,地下水位-3.500m,通过砂、砾、卵石层与大海相通。地层条件如下:
0~-3.500m为人工填土,其中0~-0.500m为杂填土,-0.500m~-3.500m为素填土。
-3.500m~-10.000m为海积相沉积土,自上而下依次为淤泥层、细砂层、中砂层及粗砂层,细砂层、中砂层、粗砂层呈松散-稍密-中密状态。N=17~30,土粒愈大,则N值愈大。
-10.000m~-13.500m为冲积层,上部为粘土层,偶含卵石,下部为粗砂、砾砂、卵石的混合体,呈中密-密实状态。N=18~40。
-13.500m~-21.500m为粘土层,由千枚岩变质夹变质石英岩风化而成。N=24~40。
为了防止桩间漏水,在每两个紧靠在一起的围护桩中心轴中点外300mm处设一根旋喷桩,桩径为800mm,桩长同围护桩,并与围护桩一起形成联桩止水帷幕。
(1)旋喷桩施工工艺及技术参数见表1
注:1上表用于桩净间距为0.2m的旋喷桩.当桩净间距每增大0.1m时,可相应增加水压力为2MPa。
2为了方便,可相应增加4MPa的水压力而省去气施工。
(2)浆材配比及性能
1)材料
水泥:425普通硅酸盐水泥
水玻璃:模M=2.4~3.4;浓度为30~40波美度。
水:自来水。
2)配比
水:水泥=1:1(前期施工用)。
水:水泥:水玻璃=1:1:0.02(施工后期用)。
3)比重
16~17。
3.2 事故分析
由于地下水位较高,同时又通过砂层与深圳河相连,所以在旋喷桩施工过程当中,旋喷进土中的水泥在熟化前,由于受到深圳河河水涨落引起地下水位变化的影响,致使其硬化受到了很大的影响,不仅没有形成联桩止水帷幕,甚至有一部分水泥和已经被破坏的土层一起被水带走!另由于地下土层主要是无粘性土与砂土,所以,在水泥浆旋喷时,水气射流的压力应控制在12~16MPa以上,在施工时没有达到。
在基坑开挖过程当中,由于前述原因造成桩间大面积漏水及桩间土的流砂、基坑四周的下沉等现象。
3.3 事故处理
本工程根据以上的分析原因,采用如下方法进行处理。
3.3.1 在基坑开挖过程当中,采用喷射混凝土的技术进行桩间土的加固
(1)在基坑四周紧靠桩的位置先挖土,其深度为500~1000mm,宽度为2000mm,并观察桩间土的变化。
(2)清理漏出桩表面的泥土。
(3)用φ6@600的水平钢筋与桩钢筋连接,并在竖向设φ6@200的钢筋形成钢筋网片。
(4)喷射细石混凝土100mm厚。
3.3.2 在基坑四周紧靠桩的位置挖土时,如果出现漏水位置现象采取以下方法进行处理
(1)先回填此处,并记录此处的位置.
(2)在该处所对应的桩轴线外侧重新设置旋喷桩以达到止水的效果(旋喷桩施工的时间应避开地下水位的变化时间)。
(3)开挖回填处。
3.3.3 在基坑开挖过程当中,如果桩间土出现流砂现象将采取以下方法进行处理
(1)先用砂袋压在洞口处,以防止流砂现象进一步加剧。
(2)等流砂现象稳定后,从上至下按层取出砂袋,每取一层,则在洞口处打入50mm×100mm×600mm方木若干,方木的端部缠棉纱一团(棉纱主要用于过滤水,以防止流砂再一次产生)。
(3)在洞口的中央处预留一根φ50的钢管,插入土中的端部用铁砂网堵口,外管口打一内丝口(在处理好流砂并喷射细石混凝土后,将管口用堵封封口)。
(4)方木压毕后,在方木的表面用同前所述方法喷射细石混凝土,此时,漏水从管口流出。
(5)待喷射细石混凝土浇筑3d后用堵封封住预留钢管管口。
4.防止桩间漏水的技术措施
根据工程实例分析,要防止桩间漏水可以从以下几个方面考虑问题。
1)止水帷幕的设计与施工必须考虑地下水位的变化和土的物理性能指标。在止水帷幕设计时,地下水位如果是动态变化,则旋喷桩喷射进土中的水泥有可能被水带走。为了解决这个问题,采用的方法:一是将钢筋混凝土围护桩改为钢板围护桩;二是将止水帷幕改为基坑四周的人工降水;三是采用地下连续墙。如果出现地下水位的变化,则应回避变化时间。在相对来说水位比较稳定的时候进行施工。有必要时,还可在现场进行旋喷桩喷射水泥的试验,以确定设计与施工的参数。
2)土方开挖前对旋喷桩抽芯检查,确保旋喷桩喷射的质量。当出现断桩时应采取补桩的方法进行处理。
3)基坑开挖过程当中,要注意观察桩间土的含水量变化和变形,当出现含水量增大或变形增大时,应立即采取措施,以防出现漏水或流砂的现象。
关键词:地下工程;地下连续墙;接头;H型钢;施工技术
摘 要:分析了几种常用的H型钢接头施工技术的特点并对其在施工中容易出现的质量问题进行了分析。结合分析结论,在昆明地铁文化宫站地下连续墙H型钢接头施工中,在防止混凝土绕流及控制H型钢变形等方面提出了几点具体的改进措施。工程实践证明,这些改进措施取得了良好效果。
0 引言
随着我国地下工程建设的快速发展,在地铁、房地产等大型深基坑工程中越来越多地采用地下连续墙作为围护结构。而随着基坑开挖深度越来越深,基坑周边环境越来越复杂,地下连续墙施工质量的好坏将对工程安全产生重大影响。地下连续墙接头作为地下连续墙的薄弱环节,其处理的好坏直接影响整个地下连续墙防渗漏效果,进而影响整个基坑的安全。因此必须妥善处理好地下连续墙接头施工。
随着地下连续墙施工技术的发展,地下连续墙接头形式也呈现出多样化趋势。地下连续墙H型钢接头技术作为一种隔板式刚性接头,具有受力好等优点,因此得到越来越广泛的应用。
1 地下连续墙H型钢接头
地下连续墙H型钢接头属于刚性接头,能有效传递基坑外土、水压力和竖向力,整体性好,在地下连续墙设计尤其是当地下连续墙作为结构一部分时,在受力及防水方面均有较大安全性。因此,H型钢接头得到了广泛应用。H型钢接头与其他接头相比具有如下优点:
1)施工工艺简单,施工速度快,可现场制作。
2)整体性好,结构强度与刚度好。
3)防渗路径长,防水、防渗效果好。
4)施工安全,没有接头管、接头箱,无起拔管危险,同时也减少了较庞大的拔管设备及较复杂的拔管工序。
2H型钢接头施工技术存在的问题虽然H型钢接头在全国各地都得到了广泛应用,但不同地区、不同单位在H型钢接头处理的具体技术措施应用上存在较大差异。不同的技术处理方案在具体的应用实践中,出现了不同问题。分析研究这些问题的原因并找出对策,对于改进H型钢接头施工技术方案、提高接头施工质量具有重要意义。
1)“锁口管+黏土”方式有些单位在施工H型钢接头时采用的技术方案是在H型钢后侧空腔内插入锁口管,并回填黏性土。但施工中由于H型钢与锁口管之间的空隙回填的黏土难以密实,以及锁口管可能的侧向移动,在混凝土浇筑的巨大压力之下,H型钢会产生较大变形,混凝土也会从底部及侧面绕过H型钢,附着在H型钢二期槽段侧。这种施工方案,不但未能避免提拔锁口管的工序,而且事实上使接头形成了一种质量较差的柔性锁口管接头,未能发挥出H型钢应有的各种优点。
2)“泡沫板+砂包”方式H型钢后侧空腔内绑扎泡沫板加充填砂包方案。这种方案在施工中由于充填的砂包不够密实,泡沫塑料块没有绑牢,在较大的泥浆浮力作用下冲出水面或有向上位移,槽段接头部位有较大面积塌方时,混凝土从H型钢侧面或底部绕过,充填缝隙,固结后形成强度较高的障碍物,影响二期槽段的施工。针对此问题,有人提出采用较小的砂包充填接头使其尽量密实,同时在泡沫塑料外包一层无纺布,以防止混凝土从H型钢侧面缝隙的绕流。
通过实践,该方案一定程度上减少了混凝土的绕流。但由于H型钢后侧空腔内的填充柔性,导致H型钢会产生较大变形,同时无纺布的安装工序较繁,影响了钢筋笼的下放速度,容易引起槽段塌方。
3)“接头钢塞+砂包”方式这种改进主要是用接头钢塞代替上述方案中的泡沫板。当一期槽段混凝土浇筑初凝后可拔掉接头钢塞,二期施工时可省去劈打泡沫及残积混凝土块,其防渗效果远比传统方式好,如图1所示。
图1 “接头钢塞+砂包”方式
这种方式明显的缺点是受槽段深度限制,当槽孔深度<15m时应用较为成熟,而当槽孔深度>15m时应慎用,因为有接头拔不上来的危险。
4)“散装碎石+止浆铁皮”方式上海世博会500kV地下变电站工程地下连续墙接头形式采用了H型钢接头。施工单位对接头施工工艺进行了深入的研究和尝试,分别从几个方面采取了防绕流措施:①将H型钢底端接长500mm,以阻挡混凝土从槽底流向相邻槽幅。②把原设计比钢筋笼顶低1200mm的先施工槽幅两侧H型钢以变截面形式接长,至-1.000m处,导墙面至-1.000m处范围采用可拆式挡板,这样就可以阻挡混凝土翻浆从顶部向两侧溢出,如图2所示。③采取在接头H型钢上焊接0.5mm厚、750px宽的外包白铁皮,以防止混凝土侧向绕流。
图2 防绕流措施
同时,成槽后吊放钢筋笼,在H型钢后侧空腔内填碎石,然后浇筑混凝土,碎石面始终高于混凝土面5m以上。这样既可以防止混凝土从侧面绕流,又可以保持H型钢外侧的压力,有利于控制H型钢变形,如图3所示。
图3 填碎石示意
上海世博会500kV地下变电站项目H型钢接头施工技术措施在施工中取得了不错效果,但也有个别槽段出现混凝土绕流,个别槽段出现碎石绕流,个别槽段出现较大H型钢变形,影响后续槽段施工。
2 昆明地铁文化宫站H型钢接头施工技术改进方案
昆明市轨道交通首期工程2号线与3号线工程换乘车站文化宫站位于北京路与东风东路十字路口下。车站围护结构采用地下连续墙,开挖采用局部盖挖施工,开挖深度达25.3m。由于半盖挖区域在开挖阶段须用于社会道路通行,在开挖阶段如果出现较大渗漏情况,将对周边环境造成巨大影响,因此设计在盖挖部分地下连续墙采用了H型钢接头,其余部分采用柔性接头锁口管接头。
以上海世博会500kV地下变电站项目H型钢接头施工技术措施为基础,针对其施工中出现的问题,结合文化宫站项目的具体情况,采取了部分上述技术措施,也对上述部分技术措施进行了改进尝试,具体改进措施如下:
1)H型钢底部插入槽底深度减少为300mm
由于文化宫站地下连续墙深度较上海世博会500kV项目浅很多,其混凝土浇筑时的侧压力也相对较小,且文化宫站墙底所在地层为粉砂,强度相对较高,因此将原H型钢底端接长500mm改为300mm,以阻挡混凝土从槽底流向相邻槽幅。同时,考虑到粉砂层硬度较大,为确保H型钢能够顺利插入,因此将H型钢下端割成尖状,如图4所示,这在一定程度上节约了施工成本。
图4 H型钢插入示意
2)为了更好地提高侧向防绕流的效果,将原朝向后施工槽段侧的止浆铁皮改为朝向钢筋笼侧,厚度改为0.2mm,同时宽度增加至1250px,这样在浇筑混凝土过程中,止浆铁皮更容易张开,且张开后将更好地起到防绕流效果。同时在H型钢两侧焊接止浆角钢,可以对绕过止浆铁皮的部分混凝土起到二次阻挡作用,如图5所示。
图5 止浆角钢焊接
3)H型钢后侧空腔改为用袋装碎石和袋装黏土填充
为避免出现散装石子绕流现象,决定采用袋装碎石填充H型钢后侧空腔下部,上部由于混凝土浇筑侧压力较小,决定采用袋装黏土填充,用定做的压实工具进行压实。这样不但有效防止了碎石的反向绕流,还减少了碎石用量,节约了成本。同时,由于上部采用袋装黏土填充,与水泥浆或混凝土混合后,不会形成混凝土块而影响后期槽段成槽,对减小上部混凝土绕流影响起到了较好作用。混凝土浇筑时,保持袋装碎石或袋装黏土与混凝土面高差为4~5m,以控制H型钢变形,如图6所示。
施工中,由于H型钢未接至地面,填袋装碎石和袋装黏土时必须采取措施并加强操作过程的控制,避免出现袋装碎石或袋装黏土被填至槽段内的情况。
图6 袋装碎石与袋装黏土填充示意
3 改进措施实践效果分析
施工中通过采用H型钢接头施工技术改进措施,以及加强施工过程的管理控制,文化宫站项目地下连续墙的H型钢接头防绕流取得了很好的效果,混凝土浇筑的充盈系数在合理范围内。后期施工槽段未出现绕流导致的成槽困难现象,说明H型钢侧向变形得到了有效控制。同时改进措施还在一定程度上节约了工程成本。
根据基坑开挖后H型钢接头实际情况分析,止浆铁皮方案调整后,止浆铁皮更容易张开,起到了很好的防绕流效果。通过这些措施,本工程H型钢接头绝大部分未出现渗水现象,只有极个别出现轻微渗水。
4 结语
1)通过对改进措施的应用实践,验证了改进措施在防止H型钢接头施工容易发生的混凝土绕流及H型钢变形方面是有效的。
2)施工中,确实发生了事先担心的袋装碎石或黏土被填入槽段的情况,今后施工中必须完善其防护措施,并加强施工管理。
3)施工中,极个别槽段H型钢接头出现轻微渗水现象,应该是由于刷壁不良引起。改进措施一方面有利于提高二期槽段的刷壁质量,但无论如何改进技术措施,二期槽段的刷壁工作都必须引起足够重视,限度防止渗漏水现象发生。
摘 要:上海老城厢露香园路旧改地块商品房及配套公建项目一期(B4、B5地块及实验小学)工程位于上海市中心地段,周边环境复杂,围护施工难度大。为使基坑围护施工对周边环境影响降到小,在重点控制的方浜中路区域,采用了MJS工法桩应用于围护体系中,通过认真策划与严格实施,程度减少了对周边环境的影响,证明了该项措施是成功的。
关键词:深基坑;MJS工法桩;围护;老城厢
1、工程概况
上海老城厢露香园路旧改地块商品房及配套公建项目一期(B4、B5地块及实验小学)位处上海市中心地段,地块坐落于南起方浜中路,东临露香园路,西靠青莲街,北至大境路四路环抱之内(图1)。

图1 工程平面位置示意
B4、B5地块及实验小学占地面积约27520m2,总建筑面积分为小学部分及别墅住宅部分。其中B5地块实验小学部分用地面积为10259m2,地下2层、地上为3层,地上建筑面积为12310m2,地下建筑面积为14488m2。别墅住宅部分为小别墅,地下2层、地上3层,地上建筑面积为27085m2,地下建筑面积为25389m2。
工程结构形式为框架结构。工程基坑总体呈不规则多边形,基坑面积约为26000m2,周长约为774m,基坑分为北侧B4、B5地块住宅部分和南侧B5地块实验小学部分2个区域。B4、B5地块住宅部分基坑面积约为16760m2,基坑开挖深度为8.1m;B5地块实验小学部分基坑面积约为9240m2,基坑开挖深度为9.4m。
2、基坑施工重点
本工程位于上海黄浦区老城厢,周边环境复杂,管线众多。特别是南侧方浜中路侧,隔方浜中路对面为大片的老式居民小区,围护设计考虑到该侧居民楼房多为上世纪中叶建造,结构为砖木结构且年久失修,距离场地红线近为8.9m左右,受深基坑施工的影响较为明显。因此,初决定采用钻孔灌注桩+三轴搅拌桩止水帷幕的围护形式。三轴搅拌桩对周边环境影响较小,但采用的三轴搅拌桩桩架非常高大,由于方浜中路上方存在高度距离地面仅12m的高压线和高度距离地面仅8m的380V的电线。电线杆距离现场红线近处仅有12m,高压电线距离基坑边近处仅有2.2m,而导致三轴搅拌桩的桩架无法在此位置上安全施工。如果采用桩架较矮的高压旋喷桩作止水帷幕,虽然高压旋喷桩桩架能安全地在高压线下施工,但是由于高压旋喷桩压力过大,将对方浜中路对面的老式居民区造成很大的影响。
实验小学南面方浜中路侧围护结构靠近居民区,围护施工对周边居民区老式建筑影响较为明显,且受限于上部高压线净空限制。通过对各项施工技术的对比和分析研究,终采用MJS工法桩作为止水帷幕,应用于围护体系中。
3、MJS工法桩在工程中的应用
整个基坑围护体系共3种形式,MJS工法桩主要应用在南侧的区域。南侧方浜中路部分围护体系采用内侧单排Φ850mm、Φ900mm钻孔灌注桩作挡土结构,外侧为单排Φ1200mm的MJS工法桩作为止水帷幕的形式,图2为南侧MJS工法桩布置。
图2 南侧MJS工法桩平面布置
3.1MJS工法主要参数与桩机性能
工程中MJS工法的设计桩径为2400mm,搭接长度为700mm,截面大部分为180°半圆形,在转角及与原灌注桩搭接处采用360°MJS工法施工[1-3]。桩身设计长度为16m。施工采用的水泥采用P.O42.5,水灰比为1.0。
本工程在采用了多用途专用钻机,该设备机高3.8m、机长3.5m、机宽2.02m。能够适合水平、倾斜、垂直等任意角度施工(图3)。
图3 MJS工法桩机示意
3.2MJS施工流程
本工程围护体系的MJS工法桩桩径为2400mm,搭接长度为700mm,桩身长度为16m。桩体截面角度为180°,在部分转角部位及与原灌注桩搭接处桩体截面角度为360°。施工前采用工程钻机施工导孔,图4为工艺流程。
3.3施工困难与解决
图4 MJS工法工艺流程
3.3.1周边环境保护
露香园项目一期南侧方浜中路区域局部围护结构靠近居民区,距离仅8.9m,且受限于上部高压线净空限制。施工难度大,周边环境保护要求高。针对上述情况采取如下措施:
(a)MJS工法桩施工过程中必须严格控制地内压力;
(b)施工中,配合相关监测单位加强周边重点构(建)筑物的监测;
(c)利用监测数据为MJS工法提供指导,通过监测数据不断修正MJS工法地内压力控制数据和施工节奏,减小对周边环境的影响,顺利实施该工程。如监测数据出现异常,则采用桩机的控制界面及时调整施工措施。
3.3.2排泥量大
MJS工法旋喷桩,1台设备1h的排浆量约10m3(厚浆),施工排泥量大,文明施工要求高。针对上述情况采取如下措施:
(a)现场配备每小时能处理10m3泥浆以上的泥浆处理设备,同时预留了设立100m3左右的泥浆池。
(b)严格监控泥浆的排放量,及时进行泥浆外运;
(c)加强泥浆处理设备或泥浆池周边的防护工作,安排专人进行施工区域保洁,避免发生扬尘污染。
4、工程实施效果
本工程在围护施工过程中,专门应用到了信息化施工技术对周边环境、管线的变化进行实时监测。由具体监测数据并结合实际施工情况分析,地下管线监测点在MJS工法桩施工期间变化情况可归纳为表1。
表1 方浜中路侧MJS工法桩施工阶段上水管线监测点
监测数据显示,方浜中路侧MJS工法桩施工期间对周边环境影响都在正常范围以内,土方开挖后,围护的整体挡土和隔水体系安全可靠。因此施工对周边环境影响的控制是非常成功的,取得了良好的社会效益。
5、结语
随着我国城市的发展,市中心必将会有更多的深基坑旧改工程,在复杂的市中心环境中,确保质量、安全和文明施工已是我们的施工理念,这就要求我们在施工中以人为本,向着绿色工地方向发展,将施工对周边环境的影响降到。特别是在周边环境复杂的情况下,充分引进和利用的施工技术,来解决市中心深基坑施工的各种难点,满足工程建设的需求。
MJS工法桩技术虽然施工的成本相对较高,但是其采取的工艺能够有效地减少施工对周边环境影响,而且特殊的机械性能满足低净空施工要求。
根据设计要求、土层情况和选用的工法,扩大头的直径范围为0.4m~2.0m,锚杆抗拔力比普通锚杆提高3倍以上;在相同的拉力条件下锚头工作位移仅为普通锚杆的1/3左右。普通锚杆为摩擦型锚杆,锚固体与孔壁之间不可避免地存在着一层或多或少的泥皮膜。JL扩大头锚杆为端压——摩擦型锚杆,高压喷射扩孔工艺对孔壁也有显著的加糙作用,因此他不仅抗拔力高、位移小,而且其突出的有点是可靠性高,质量有保障。













1 工程概况
某市政道路隧道工程,采用下沉式方案,隧道为双向4车道,断面全宽为27.84m。该基坑的闭口段深度为11.2m,泵房处深度为15.4m,整段基坑深度达到了32.4m。场地的地下水主要是第四系孔隙潜水和基岩裂隙水,第四系孔隙水主要存在于填筑土层及冲洪积砂层中,水量较丰富;基岩裂隙水较贫乏。场地地下水主要补给为大气降水补给,地下水埋深0.6~4.2m。地下水对混凝土结构具弱腐蚀性,对混凝土中的钢筋无腐蚀性。根据地质资料显示,K2+281.9~K2+991.9段预测坑道涌水量为377.61m3/d。为此,经专家研究决定,隧道支护采用高压旋喷桩桩间止水,对于局部或隧道底板渗水,可采用集水坑抽水排放。
2 高压旋喷桩施工
隧道钻孔桩基坑止水帷幕采用Φ800mm单管高压旋喷桩桩间止水,与钻孔灌注桩咬合15cm,水泥采用42.5级,每米水泥用量为150kg;单管高压旋喷止水桩要求穿越透水层进入不透水层1m以上,若基底为淤泥质土,则止水桩应穿透淤泥质土至少1m。
本工程高压旋喷止水桩6252.8m,主要用于防水防渗及增强基坑边坡稳定性。旋喷桩设计桩径为Φ800mm,间距为600mm、桩间搭接200mm,每排孔应按三序孔跳孔施工并桩的连续搭接。摆喷桩为对桩间缝喷射,间距为钻孔桩的间距。
2.1 施工工艺
施工工艺流程:喷钻机就位→钻杆下至导孔底部→开启压缩空气→开启高压水泵→开启浆泵→旋转提升至桩顶标高→关闭气、水、浆→成桩完毕、移动钻机到下一桩位。
2.2 主要施工技术
2.2.1定位
桩机需要平稳、平正,桩机的垂直度需要控制在1%以内,可以采用线锤对龙门立柱进行垂直定位观测。
2.2.2钻孔
钻孔采用XY-1型地质钻机,金刚石钻头或硬质合金钻头钻进。如遇漏浆情况可采用泥浆固壁,根据不同地层采用不同浓度的泥浆。钻孔孔径不小于Φ130mm,孔位偏差不大于5cm,孔底偏斜率不大于1%。将钻机对准孔位木桩,调平钻机,再次校正孔位,准确校正钻机立轴垂直度后方可开钻。钻进过程中必须勤于检查钻孔孔斜率是否满足精度要求;控制固壁泥浆流量、压力及回次进尺以正常钻进,并详细记录孔内情况,如换层、遇块石、漏浆等。
2.2.3浆液制备
采用P042.5级普通硅酸盐水泥,水泥应新鲜无结块,通过0.08mm方孔筛的筛余量≤5%,每批次进场水泥必须具有产品合格证和出厂检验报告,进场后按规定进行抽检。制浆用水必须清洁无污染,符合拌制水工砼的要求。制备水泥浆液时,按照浆液配比:水:水泥=1.42:1准确称量,严格控制水泥浆液比重。水泥浆采用高速搅浆机制浆,搅拌时间不小于30s,水泥浆拌好后必须过筛放入储浆桶,防止杂物进入浆管堵塞喷咀。为使水泥浆不发生离析,储浆桶内设慢速搅拌装置,且水泥浆液存放不超过4h,否则作为废浆处理。
2.2.4高喷作业
①高喷台车就位:高喷管下入前,校正高喷台车水平及高喷管垂直,使高喷管与钻孔孔向一致,确保高喷成墙的倾斜偏差在1/150以内。
②下喷射管:检查高压泥浆泵、空压机运行良好,检查高压输浆管、供风管畅通及完好,准备就绪后下入喷浆管。为防止下管过程中堵塞喷嘴,可将喷嘴包扎或低压力送浆下管。
③喷射提升:高喷管下至设计深度后,输入水泥浆液和压缩空气,待浆压和风压升至设计规定值并孔口返浆后,按设计提升速度、旋转速度及摆动角度旋转摆动提升喷管,进行喷浆作业,直至达到孔口孔口返浆率20%~30%以此判别成墙强度。在接卸管时,速度要快,以防止埋管。
④回灌:喷浆结束后,如遇到孔口浆面下沉,应进行回填灌浆,可利用相隔孔喷灌作业返浆,直到浆面不再下沉为止,以确保高喷防渗墙形
成后达到墙顶高程。每个喷浆孔喷浆完毕后,移开喷浆管,用清水把泥
浆泵和管路内的残留浆液全部排出,冲洗干净。
⑤复喷处理:施工过程中,因机械故障、孔内事故、卸接管等原因中断,恢复喷射时均须进行复喷,复喷搭接长度不小于0.5m。
⑥记录:施工过程中钻孔、旋喷灌浆的各道工序应详细、及时、准确记录,所有记录需按要求使用统一表格。
2.3 高喷灌浆施工参数(见表1)
3施工中出现的问题及控制要点
3.1旋喷桩施工过程中如果遇到了阻力,无法继续进行下插时,可以采用上下窜动注浆管的方法,并将管口插入到设计深度位置,如果不能做到,则直接跳过此桩,跳喷下一根桩,此桩位需要进行重新成孔。
3.2高压喷射注浆过程中如果出现了压力突然下降、上升,或者大量冒浆等不正常的现象,需要及时查明原因并采取相应的措施,处理完故障后再进行接桩时,需要将停喷点下移1.0m处后再进行重新的喷射接桩作业。
3.3在喷射过程中,如果出现了堵塞喷嘴现象,需要及时的更换钻头。此外,在完成一根桩的施工后需要及时的清洗注浆管,管内的不得残存水泥浆。
3.4为了有效防止浆液凝固收缩过快影响到桩顶的质量,可以采用超高喷射的办法,喷射高度高出桩顶标高0.6m左右。
4 综合效果分析
4.1施工质量效果
对基坑进行开挖后,我们发下旋喷桩和灌注桩接合的非常紧密,两者相互搭接(图1),有效防止了外侧水进入基坑基。此外,对于基坑内的水采用了降水井方法降低了地下水位,了后期挖土工序的顺利进行。工程完全达到了预期的止水效果。
在本工程中灌注桩和高压旋喷桩的施工对于周围土体的扰动非常小,对外围水起到了截止作用。基坑开挖之后,我们对基坑的进行了全面的沉降观测,根据现在采集的监测数据,基坑的侧向位移为17.5mm,沉降位移为23.5mm,这充分说明基坑的开挖过程对周围土体的影响非常小。由此可见,高压旋喷桩+灌注桩的施工方法了施工质量。
4.2效益分析
高压旋喷桩加灌注桩施工减少了施工作业面积,有效了基坑的止水效果。此外,工程可以多个钻机同时作业,操作人员较少,节约了人工成本,缩短了工期,了施工安全。总之,取得了良好的社会和经济效益。
逆作法施工重难点分析
1、逆作法施工,结构预留预埋多,精度要求高。
2、出土口数量及位置的合理布置
3、土方暗挖,挖机容易碰撞钢立柱、预留插筋等,造成损失。
4、逆作法中柱与梁、梁与墙处主筋预留长度的长短将影响挖土机械行走。
5、竖向结构施工时浇捣口及振捣口的合理设置。
6、竖向顺做时混凝土浇筑顶部与水平结构连接部位的密实是关键。
7、由于逆作法的特殊性,施工中应充分考虑照明,以确保地下室施工阶段用电安全及施工人员周围环境安全。
8、由于逆作法的特殊性,施工中通风的考虑应周全,以确保施工人员周围环境安全。
取土口设置

层土方开挖

第二层土方开挖
第三层土方开挖
第四层土方开挖
第五层土方开挖
地下室通风及照明设置
钢筋工程
1浆液质量不符合质量标准
1.1、现象
在盾构推进过程中,由于注浆浆液质量不好,使注浆效果不佳,引起地面和隧道的沉降。
1.2、原因分析
(1)注浆浆液配合不当,与注浆工艺、盾构形式、周围土质不相适应;
(2)拌浆计量不准,导致配合比例误差,时浆液质量不符合要求;
(3)原材料质量不合格;
(4)运输设备的性能不符合要求,使浆液在运输过程中产生离析、沉淀。
1.3、预防措施
(1)根据盾构的形式、压浆工艺、土质情况、环境保护的控制要求及经济效益正确设计浆液配比,并通过实验使其符合施工要求;
(2)应在满足合理的精度前提下,考虑使用简单可靠的计量器具。同时应保养好计量器具,定时做检定。发现计量器具精度误差超标,应及时矫正或换新;
(3)对拌浆机的质量进行有效的管理,各种材料采购的渠道,并附有相应的质量单。应按规定对材料进行质量抽检;
(4)拌浆机设备的工作环境差,使用中应注意定期维修保养,经常清洗拌浆机。如在使用中机械发生故障应及时修复,不能让设备带病作业;
(5)浆液的输送应视浆液的性能而定,选择合理的输送方法。用管路输送时,管子的直径要适当;用拌浆车输送时,车上的拌浆机应有充分的搅拌能力;
(6)加强对拌制后浆液的检测,要确保浆液的质量符合施工所需。
1.4、治理方法
(1)不符合要求的浆液重新进行拌浆
(2)不符合质量要求的原材料不得使用
(3)如浆液经使用确认配比设计不合理,应及时作配合比的设计和试验,决定出实际就使用的配合比;
(4)更换浆液运输设备,以适应浆液性能及压浆工艺。
2沿隧道轴线地层变形量过大
2.1、现象
沿隧道轴线地层变形过量,引起地面建筑物或地下管线损坏。
2.2、原因分析
(1)盾构开始掘进后,如不能同步的进行注浆或注浆效果差,则会产生地面沉降;
(2)盾尾密封效果不好,注浆压力又偏高,注浆从盾尾渗入隧道,造成有效注浆量不足;
(3)浆液质量不好,强度达不到要求,不能起到支护作用,造成地层变形量过大、过载而疲劳断裂,气动元件失灵。
(4)注浆过程不均匀,推进过程中有时注浆压力大,注浆量足够,有时注浆量少甚至不注浆,造成对土体结构的扰动和破坏,使地层的变形量过大。
2.3、预防措施
(1)正确确定注浆量和注浆压力,及时、同步的进行注浆;
(2)注浆应均匀,根据推进进度适当的调整注浆的速率,尽量做到与推进速率相符;
(3)根据本节“一、浆液质量不符合质量标准”所述的措施,提高拌浆的质量,压注的浆液的强度;
(4)推进时同时、均匀、经常地压注盾尾密封油脂,盾尾钢丝刷的使用功能。
2.4、治理方法
(1)根据地面变形情况及时调整注浆量、注浆部位,对于沉降大的部位可采用补压浆的措施;
(2)损坏的盾尾进行更换,或采用在盾尾内垫海绵的方法对盾尾进行堵漏;
(3)注浆口离盾尾太近引起盾尾漏浆,可采用从管片上进行壁后注浆的方法,减少浆液的渗漏。
3单液注浆浆管堵塞
3.1现象
采用单液注浆时浆管堵塞,无法注浆,甚至发生浆管爆裂的情况,严重影响施工质量和进度。
3.2原因分析
(1)停注浆的时间过长,留在浆管中的浆液结硬,引起堵塞;
(2)浆液中的砂含量太高,沉淀在浆管中使浆管通径逐渐减小,引起堵塞;
(3)浆管的三通部位在压浆过程中有浆液积存,时间长了就沉淀凝固。
3.3、预防措施
(1)停止推进时定时用浆液打循环回路,使管路中的浆液不产生沉淀。长期停止推进,应将管路清洗干净;
(2)拌浆时注意配比准确,搅拌充分;
(3)定期清理浆管,清理后的个循环用膨润土泥浆压注,使注浆管路的管壁润滑良好;
(4)经常维修注浆系统的阀门,使它们启闭灵活。
3.4治理方法
将堵塞的管子拆下,将堵塞物清理干净后重新接好管路。
4双液注浆浆管堵塞
4.1、现象
双液注浆时浆管堵塞,无法注浆,甚至发生浆管爆裂的情况,严重影响施工质量和进度。
4.2、原因分析
(1)长时间未注浆,浆管没有清洗,浆液在管中结硬堵塞管子;
(2)两种浆液的注压泵压力不匹配,B液的压力太高而进入A液的管路,引起A液管内浆液结硬,堵塞管子;
(3)管路中有直管时,清洗球无法清洗到该部位,使浆液沉淀而结硬。
4.3、预防措施
(1)每次注浆结束都应清洗浆管,清洗浆管时应将橡胶清洗球取出,不能将清洗球遗漏在管路内引起更厉害的堵塞
(2)压力和流量的平衡;
(3)对于管路中存在分叉的部分,清洗球清洗不到,应经常性用人工对此清洗。
4.4、治理方法
将堵塞部位的注浆管路拆卸下来进行清洗,然后重新安装恢复压浆。

沉管灌注桩是指利用锤击打桩法或振动打桩法,将带有活瓣式桩尖或预制钢筋混凝土桩靴的钢套管沉入土中,然后边浇注混凝土(或先在管内放入钢筋笼)边锤击或振动边拔管而成的桩。前者称为锤击沉管灌注桩及套管夯扩灌注桩,后者称为振动沉管灌注桩。
沉管灌注桩是土木建筑工程中众多类型桩基础中的一种。沉管灌注桩又称为打拔管灌注桩。它是利用沉桩设备,将带有钢筋混凝土桩靴(活瓣式桩靴)的钢管沉入土中,形成桩孔,然后放入钢筋骨架并浇筑混凝土,随之拔出套管,利用拔管时的振动将混凝土捣实,便形成所需要的灌注桩。利用锤击沉桩设备沉管、拔管成桩,称为锤击沉管灌注桩。利用振动器振动沉管、拔管成桩,称为振动沉管灌注桩。为了提高桩的质量和承载能力,沉管灌注桩常采用单打法、复打法、翻插法等施工工艺。单打法(又称一次拔管法):拔管时,每提升0.5~1.0m,振动5~10s,然后再拔管0.5~1.0m,这样反复进行,直至全部拔出;复打法:在同一桩孔内连续进行两次单打,或根据需要进行局部复打。施工时,应前后两次沉管轴线重合,并在混凝土初凝之前进行;翻插法:钢管每提升0.5m,再下插0.3m,这样反复进行,直至拔出。



